±±¾©Ê¯ÓÍ»¯¹¤Ñ§Ôº2026ÄêÑо¿ÉúÕÐÉú½ÓÊÕµ÷¼Á¹«¸æ
²é¿´: 387  |  »Ø¸´: 0

zengmeimay

гæ (³õÈëÎÄ̳)

[ÇóÖú] ¶àÉýÎÂËÙÂÊ·¨Çó¶¯Á¦Ñ§²ÎÊý£¬Ôõôȷ¶¨»úÀíº¯Êý£¿

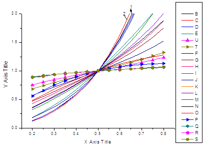
²ÉÓöàÉýÎÂËÙÂÊ·¨Çó¶¯Á¦Ñ§²ÎÊý£¬ÒÔFlynn-Wall-Ozawa(FWO)·¨µÃµ½Á˻ÄÜ£¬ÏëÓÃζȻý·ÖP(u)/P(u0.5)-aÇúÏß¶ÔÓ¦±ê×¼ÇúÏßG(u)/G(u0.5)-aµÃµ½·´Ó¦»úÀíº¯Êý£¬µ«Êǽá¹û²»¾¡ÈËÒ⣬ûÓÐÏàÖØºÏµÄÇúÏߣ¬Èçͼ£¬×îºóÏßÌõÇúÏßΪʵÑéÇúÏß¡£Ö»ÓÐͼÖÐAvrami ·½³ÌÓëʵÑéÇúÏßÇ÷ÊÆÏàËÆ£¬²¢ÇÒ[-ln(1-¦Á)]^n,£¬n=1/20Ê±ÖØºÏ£¬Ã²ËƲ»ºÏÀí£¬ÔÚ´Ë×´¿öÏÂÈçºÎÈ·¶¨·´Ó¦»úÀíº¯ÊýÇóËãָǰÒò×Ӻͷ´Ó¦Ö¸Êý£¿Ï£ÍûÈÈÐÄÅóÓѰïæ½â´ð¡£
¶àÉýÎÂËÙÂÊ·¨Çó¶¯Á¦Ñ§²ÎÊý£¬Ôõôȷ¶¨»úÀíº¯Êý£¿
»Ø¸´´ËÂ¥
ÒÑÔÄ   »Ø¸´´ËÂ¥   ¹Ø×¢TA ¸øTA·¢ÏûÏ¢ ËÍTAºì»¨ TAµÄ»ØÌû
Ïà¹Ø°æ¿éÌø×ª ÎÒÒª¶©ÔÄÂ¥Ö÷ zengmeimay µÄÖ÷Ìâ¸üÐÂ
×î¾ßÈËÆøÈÈÌûÍÆ¼ö [²é¿´È«²¿] ×÷Õß »Ø/¿´ ×îºó·¢±í
[¿¼ÑÐ] 26µ÷¼Á 086003 +3 ʧ»îµÄϸ°û 2026-04-04 3/150 2026-04-04 02:24 by ±ÏÒµ°Ú̯Âô¼å±ý
[¿¼ÑÐ] µç×ÓÐÅÏ¢µ÷¼Á½»²æÑ§¿ÆÓÐÍÆ¼öÂð +4 jhtfeybgj 2026-04-01 6/300 2026-04-04 00:14 by Öí»á·É
[¿¼ÑÐ] 085400µç×ÓÐÅÏ¢319Çóµ÷¼Á£¨½ÓÊÜ¿çרҵµ÷¼Á£© +3 ÐÇÐDz»Õ£ÑÛà¶ 2026-04-03 4/200 2026-04-03 21:40 by liucky
[¿¼ÑÐ] µ÷¼ÁÇóÖú +8 Ïë»»ÊÖ»ú²»Ïë½âÊ 2026-04-02 11/550 2026-04-03 14:16 by ÐÇ¿ÕÐÇÔÂ
[»ù½ðÉêÇë] ÇëÎʹ²Í¬Í¨Ñ¶ºÍ¹²Í¬Ò»×÷µÄÈϿɶÈÎÊÌâ 10+4 psa1234 2026-04-01 10/500 2026-04-03 11:08 by Kittylucky
[¿¼ÑÐ] ±§Ç¸ +5 ÌïºéÓÐ 2026-03-30 5/250 2026-04-03 10:24 by linyelide
[¿¼ÑÐ] »·¾³¿ÆÑ§Ó빤³Ì334·ÖÇóµ÷¼Á +7 ÍõÒ»Ò»ÒÀÒÀ 2026-03-30 9/450 2026-04-02 21:15 by 1104338198
[¿¼ÑÐ] ¡£ +4 ÎíÓ뺣 2026-04-02 5/250 2026-04-02 19:16 by ÍÁľ˶ʿÕÐÉú
[¿¼ÑÐ] 292·Ö£¬²ÄÁÏÓ뻯¹¤£¬ÉêÇëµ÷¼Á +19 ³ÌÇçÖ® 2026-04-01 23/1150 2026-04-02 11:59 by ³ÌÇçÖ®
[¿¼ÑÐ] ²ÄÁϵ÷¼Á +12 Ò»ÑùYWY 2026-04-01 12/600 2026-04-02 09:15 by olim
[¿¼ÑÐ] ÍÁľ304Çóµ÷¼Á +6 ÍÃͻͻͻ£¬ 2026-03-31 7/350 2026-04-02 09:06 by coolminer
[¿¼ÑÐ] Çóµ÷¼Á£¬Ò»Ö¾Ô¸ÄϾ©Ê¦·¶´óѧ¼ÆËã»úר˶£¬³õÊÔ373£¬Áù¼¶Í¨¹ý£¬ +3 ¼ÆËã»ú×·ÃÎÈË 2026-04-01 3/150 2026-04-02 07:57 by fxue1114
[¿¼ÑÐ] 0817»¯¹¤Ñ§Ë¶µ÷¼Á +11 ŬÁ¦Éϰ¶ÖУ¡ 2026-03-31 11/550 2026-04-01 20:30 by Àµ´ºÑÞ
[¿¼ÑÐ] Ò»Ö¾Ô¸»ªÄÏʦ·¶361·Ö£¬»¯Ñ§Çóµ÷¼Á +4 Nicole88888 2026-04-01 4/200 2026-04-01 10:08 by ÌÆãå¶ù
[¿¼ÑÐ] 339Çóµ÷¼Á +5 zjjkt 2026-03-31 5/250 2026-04-01 09:18 by JourneyLucky
[¿¼ÑÐ] ¿¼Ñе÷¼Á +9 СÀ¯ÐÂ±Ê 2026-03-29 10/500 2026-03-31 19:52 by Dyhoer
[¿¼ÑÐ] 340Çóµ÷¼Á +4 Ï£ÍûÈç´Ëi 2026-03-31 4/200 2026-03-31 16:40 by 690616278
[¿¼ÑÐ] µ÷¼ÁÇóԺУÕÐÊÕ +7 º×¾¨¸ë 2026-03-28 7/350 2026-03-31 11:21 by oooqiao
[¿¼ÑÐ] 291Çóµ÷¼Á +5 Y-cap 2026-03-29 6/300 2026-03-29 13:18 by mumin1990
[¿¼ÑÐ] 332Çó92µ÷¼Á +8 ½¶½¶123 2026-03-28 8/400 2026-03-29 10:46 by ÖÜè÷µ¤
ÐÅÏ¢Ìáʾ
ÇëÌî´¦ÀíÒâ¼û