| 查看: 702 | 回复: 3 | ||
[求助]
microTOF Q-Ⅱ四级杆选择离子的原理 已有1人参与
|
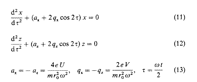
如图是四级杆选择离子的公式和原理图,从图中可以看出直流电压U增加或交流电压V减小,质量选择范围缩小。对于布鲁克公司的microTOF Q-Ⅱ仪器,直流电压和交流电压反应在控制软件的哪个参数?求指教![]() 公式.png 四级杆选择离子原理图.png |
» 猜你喜欢
体制内长辈说体制内绝大部分一辈子在底层,如同你们一样大部分普通教师忙且收入低
已经有18人回复
面上可以超过30页吧?
已经有7人回复
网上报道青年教师午睡中猝死、熬夜猝死的越来越多,主要哪些原因引起的?
已经有5人回复
“人文社科而论,许多学术研究还没有达到民国时期的水平”
已经有6人回复
版面费该交吗
已经有13人回复
为什么中国大学工科教授们水了那么多所谓的顶会顶刊,但还是做不出宇树机器人?
已经有10人回复
什么是人一生最重要的?
已经有4人回复
» 本主题相关价值贴推荐,对您同样有帮助:
microTOF Q-Ⅱ二级质谱MRM模式适不适合做定量分析
已经有2人回复
急,急,急!急求高人指点!
已经有0人回复
液质连用软件
已经有1人回复
求助Bruker液质联用使用操作流程
已经有0人回复
Bruker micrOTOF-Q II 液质联用高分辨质谱仪使用流程
已经有1人回复
求microTOF-Q II 质谱数据分析软件
已经有0人回复
BRUKER micrOTOF-Q II 使用优化问题
已经有2人回复
2楼2016-01-20 09:06:44
TrickyVick
金虫 (小有名气)
- 应助: 14 (小学生)
- 金币: 810.5
- 红花: 6
- 帖子: 296
- 在线: 82.3小时
- 虫号: 2192184
- 注册: 2012-12-17
- 专业: 质谱分析
3楼2016-03-10 05:37:47
4楼2016-03-10 13:24:53














回复此楼
没有人
嘟嘟_小乐