| 查看: 1112 | 回复: 4 | ||
[求助]
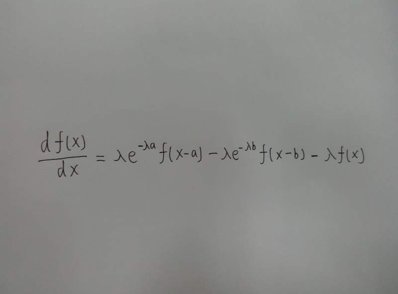
常微分方程 已有2人参与
|
||
|
|
||
|
2楼2016-01-17 13:04:36
|
|
|
![]() |
||
|
3楼2016-01-17 14:15:27
|
|
|
redipus铁虫 (正式写手)
|
||
|
4楼2016-01-17 14:17:13
|
|
|
Math露珠木虫 (知名作家)
|
【答案】应助回帖
★ ★
感谢参与,应助指数 +1 LTong92(Edstrayer代发): 金币+2 2016-01-18 00:20:28
|
|
|
5楼2016-01-17 15:15:37
|
|













回复此楼
