| ²é¿´: 169 | »Ø¸´: 0 | ||
ÓîÃÈ00гæ (³õÈëÎÄ̳)
|
[ÇóÖú]
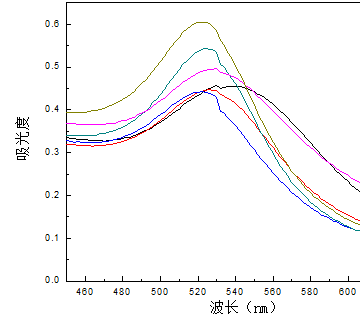
½ðÄÉÃ×ÔÚÓÃ×ÏÍâ±íÕ÷Ê±ÌØÕ÷·åÅԱ߳öÏÖС¹ÕÊÇÔõô»ØÊ£¿
|
|
×ÏÍâ¹âÆ×ͼÈçÏ£¬Çó°ïæÕûÌå·ÖÎöһϣ¬»¹ÓзÖÎöÌØÕ÷·åÅԱ߳öÏÖС¹ÕÊÇʲô»ØÊ 9W@Y%}ZVRZ~5B0DE]{NEYHI.png YB}UQUA4FS5JA3{CZ6FB26N.png |
» ²ÂÄãϲ»¶
ºþ±±Ê¦·¶´óѧ¸´ÊÔµ÷¼Á
ÒѾÓÐ0È˻ظ´
Î人·ÄÖ¯´óѧ_»¯¹¤Ñ§Ôº¹Ù·½µ÷¼ÁȺ-ԺʿÍŶÓÕÐÉú-ѧÉú×ÔÓɶȸß-ÿ½ì·¢Õ¹ºÃ
ÒѾÓÐ0È˻ظ´
½ðÊô²ÄÁÏÂÛÎÄÈóÉ«/·ÒëÔõôÊÕ·Ñ?
ÒѾÓÐ220È˻ظ´
¼ÃÄÏ´óѧ¹ú¼ÒÓÅÇà¿ÎÌâ×é 2026 µ÷¼ÁÕÐÉúÀ´À²
ÒѾÓÐ0È˻ظ´
Î人·ÄÖ¯´óѧ_»¯Ñ§Ôº¹Ù·½µ÷¼ÁȺ-ԺʿÍŶÓÕÐÉú-ѧÉú×ÔÓɶȸ߷¢Õ¹ºÃ-»¶Ó¸÷λͬѧ
ÒѾÓÐ0È˻ظ´
ºÓ±±´óѧ ²ÄÁÏÓ뻯¹¤ ˶ʿÕÐÊÕµ÷¼Á
ÒѾÓÐ0È˻ظ´
Î÷»ª´óѧ »¯Ñ§ µ÷¼ÁÓÐÃû¶î
ÒѾÓÐ0È˻ظ´
ÉϺ£Ó¦Óü¼Êõ´óѧÕÐÉúµ÷¼ÁÑо¿Éú
ÒѾÓÐ7È˻ظ´













»Ø¸´´ËÂ¥