Znn3bq.jpeg
²é¿´: 356  |  »Ø¸´: 0

´òÀÏ»¢½ð

Í­³æ (³õÈëÎÄ̳)

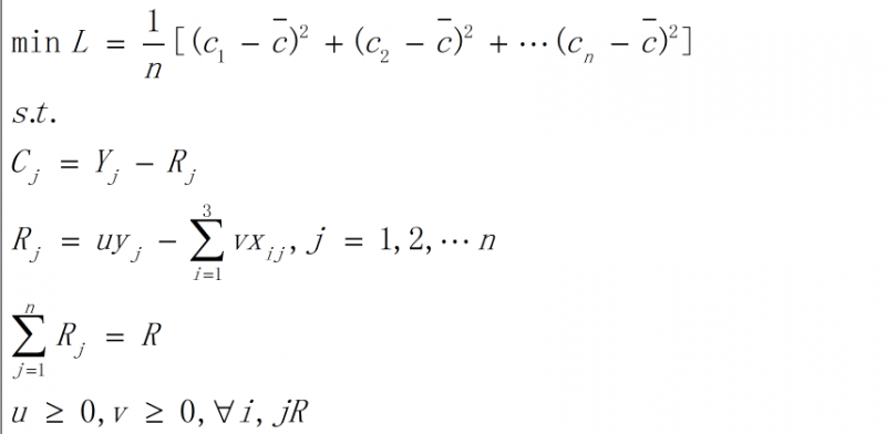
[ÇóÖú] 4¸öÊý¾ÝµÄ¼ÆË㣬ÇóÓÃMATLAB»òÕ߯äËû·½·¨Çó½â

ÇóÖú£¬ÇóÖú£¡

4¸öÊý¾ÝµÄ¼ÆË㣬ÇóÓÃMATLAB»òÕ߯äËû·½·¨Çó½â
Êý¾Ý1.png


4¸öÊý¾ÝµÄ¼ÆË㣬ÇóÓÃMATLAB»òÕ߯äËû·½·¨Çó½â-1
Êý¾Ý2.png
»Ø¸´´ËÂ¥

» ²ÂÄãϲ»¶

ÒÑÔÄ   »Ø¸´´ËÂ¥   ¹Ø×¢TA ¸øTA·¢ÏûÏ¢ ËÍTAºì»¨ TAµÄ»ØÌû
Ïà¹Ø°æ¿éÌø×ª ÎÒÒª¶©ÔÄÂ¥Ö÷ ´òÀÏ»¢½ð µÄÖ÷Ìâ¸üÐÂ
×î¾ßÈËÆøÈÈÌûÍÆ¼ö [²é¿´È«²¿] ×÷Õß »Ø/¿´ ×îºó·¢±í
[¿¼ÑÐ] »¯¹¤µ÷¼ÁÇóµ¼Ê¦ÊÕÁô£¡Ò»Ö¾Ô¸Ê§Àû£¬Ì¤Êµ¿Ï¸É£¬ÓÐÖ²ÎïÌáÈ¡¿ÆÑо­Àú +20 yzyzx 2026-04-09 21/1050 2026-04-12 00:12 by ССССÀ²À²À²
[¿¼ÑÐ] 267Çóµ÷¼Á +8 ÔÙæҲҪ³Ô·¹°¡ 2026-04-09 8/400 2026-04-11 21:42 by cfdbai
[¿¼ÑÐ] µ÷¼Á +4 µçÆø300Çóµ÷¼Á²» 2026-04-08 7/350 2026-04-11 10:44 by ×ÏêØ×ÏÆå
[¿¼ÑÐ] 288Çóµ÷¼Á +15 ´úfish 2026-04-09 16/800 2026-04-11 10:26 by wwj2530616
[¿¼ÑÐ] Ò»Ö¾Ô¸»ªÄÏÀí¹¤´óѧ331·Ö²ÄÁÏÇóµ÷¼Á +9 ÌìÏÂww 2026-04-09 9/450 2026-04-10 22:58 by Ftglcn90
[¿¼ÑÐ] 291 Çóµ÷¼Á +29 »¯¹¤2026½ì±ÏÒµÉ 2026-04-09 29/1450 2026-04-10 22:55 by dick_runner
[¿¼ÑÐ] Ò»Ö¾Ô¸¾©Çø985£¬085401£¬Óë±¾¿Æ×¨ÒµÒ»Ö£¬µç×ÓÐÅÏ¢¹¤³Ì£¬ +4 Ñô¹â¿ªÀʵÄÄк¢ 2026-04-10 4/200 2026-04-10 18:27 by shenrf
[¿¼ÑÐ] ³õÊÔ261 +3 AshtÉÙ 2026-04-10 6/300 2026-04-10 16:38 by AshtÉÙ
[¿¼ÑÐ] 266Çóµ÷¼Á +29 ÑôÑôÍÛÈû 2026-04-07 29/1450 2026-04-10 16:20 by ¸ßά´º
[¿¼ÑÐ] »úеר368 ÓÐÈ¥´¦Âð +4 ÖÖ´óÊ÷ 2026-04-10 4/200 2026-04-10 15:31 by jiajinhpu
[¿¼ÑÐ] »·¾³×¨Ë¶µ÷¼Á +16 »á˵»°µÄÖâ×Ó 2026-04-06 16/800 2026-04-10 10:30 by asy1wn
[¿¼ÑÐ] ½­ËÕ´óѧ ¹¤¿Æµ÷¼Á ¼ñ© +3 Evan_Liu 2026-04-09 5/250 2026-04-10 10:22 by Evan_Liu
[¿¼ÑÐ] 347²ÄÁÏר˶Çóµ÷¼Á +19 zj8215216 2026-04-06 19/950 2026-04-10 09:36 by 690616278
[¿¼ÑÐ] 297Çóµ÷¼Á +27 GENJIOW 2026-04-07 30/1500 2026-04-09 23:20 by wolf97
[¿¼ÑÐ] 368»¯Ñ§Çóµ÷¼Á +13 wwwwabcde 2026-04-07 14/700 2026-04-09 14:47 by heaven_jay
[¿¼ÑÐ] Çóµ÷¼Á +13 Æâluck 2026-04-07 13/650 2026-04-08 22:46 by Öí»á·É
[¿¼ÑÐ] 327Çóµ÷¼Á +12 Xxjc1107. 2026-04-06 12/600 2026-04-08 16:46 by luoyongfeng
[¿¼ÑÐ] »¯¹¤Ñ§Ë¶ 285Çóµ÷¼Á +26 Wisjxn 2026-04-07 26/1300 2026-04-08 14:42 by screening
[¿¼ÑÐ] 338Çóµ÷¼Á +8 wxygxsaaaaa 2026-04-06 8/400 2026-04-08 06:58 by Î޼ʵIJÝÔ­
[¿¼ÑÐ] 22408 һ־Ը˫һÁ÷È˹¤ÖÇÄÜ300·Ö ËÄÁù¼¶£¬Êý¾Ý·ÖÎö¹ú½± +4 zzfeng123 2026-04-06 6/300 2026-04-07 21:02 by zzfeng123
ÐÅÏ¢Ìáʾ
ÇëÌî´¦ÀíÒâ¼û