| 查看: 233 | 回复: 2 | |
[求助]
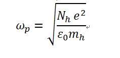
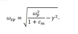
请问有谁知道LSPR计算公式,如下面的,最好是中文文献解读
|
|
|
|
|
|
2楼2016-03-01 17:13:43
|
|
|
3楼2016-03-21 20:27:08
|
|













回复此楼