| 查看: 1203 | 回复: 10 | ||
476054377主管区长
|
[求助]
大虫帮忙确定个这个化合物是S还是R! 已有3人参与
|
|
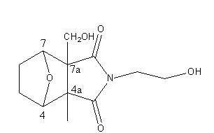
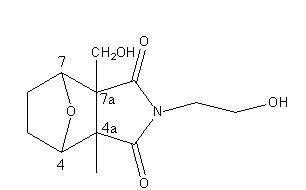
如图,帮忙确定4,4a,7和7a是S还是R呢?一到空间就有点懵了,以前的书又不见了![]() ![]() 在线等 |
» 猜你喜欢
材料专硕306英一数二
已经有7人回复
求生物学调剂
已经有3人回复
材料科学与工程339求调剂
已经有10人回复
309求调剂
已经有10人回复
生物学 296 求调剂
已经有11人回复
321求调剂
已经有8人回复
一志愿郑大085600,310分求调剂
已经有6人回复
295材料工程专硕求调剂
已经有11人回复
08工科275分求调剂
已经有9人回复
材料调剂
已经有12人回复
» 本主题相关价值贴推荐,对您同样有帮助:
Jade 晶胞参数精修 有效数字 可信度R
已经有0人回复
【求助】甲基丙烯酸甲酯乳液聚合中的一些问题
已经有1人回复
知識無價
兑换贵宾
![]()
![]()
![]()
![]()
- 应助: 579 (博士)
- 金币: 9945.9
- 红花: 61
- 帖子: 2794
- 在线: 238.4小时
- 虫号: 2342319
- 注册: 2013-03-13
- 性别: GG
- 专业: 光谱分析
3楼2016-01-13 20:49:51
yymslx2010
专家顾问
![]()
![]()
![]()
![]()
- PhEPI: 1
- 应助: 82 (初中生)
- 金币: 2467.3
- 散金: 863
- 红花: 21
- 沙发: 1
- 帖子: 1092
- 在线: 229.4小时
- 虫号: 608169
- 注册: 2008-09-20
- 性别: GG
- 专业: 天然药物化学
2楼2016-01-13 20:37:53
4楼2016-01-13 23:29:56
cranenn
兑换贵宾
![]()
![]()
![]()
![]()
- 应助: 76 (初中生)
- 金币: 3472.9
- 散金: 260
- 红花: 13
- 帖子: 1558
- 在线: 591.9小时
- 虫号: 2180550
- 注册: 2012-12-11
- 性别: GG
- 专业: 临床药理
5楼2016-01-14 00:42:24
476054377
实习版主
![]()
![]()
![]()
![]()
- 应助: 80 (初中生)
- 金币: 1425.9
- 散金: 25
- 红花: 12
- 帖子: 1030
- 在线: 135.1小时
- 虫号: 1855558
- 注册: 2012-06-11
- 性别: GG
- 专业: 中药药效物质
6楼2016-01-14 23:23:32
476054377
主管区长
![]()
![]()
![]()
![]()
- 应助: 80 (初中生)
- 金币: 1425.9
- 散金: 25
- 红花: 12
- 帖子: 1030
- 在线: 135.1小时
- 虫号: 1855558
- 注册: 2012-06-11
- 性别: GG
- 专业: 中药药效物质
7楼2016-01-14 23:24:03
476054377
实习版主
![]()
![]()
![]()
![]()
- 应助: 80 (初中生)
- 金币: 1425.9
- 散金: 25
- 红花: 12
- 帖子: 1030
- 在线: 135.1小时
- 虫号: 1855558
- 注册: 2012-06-11
- 性别: GG
- 专业: 中药药效物质
8楼2016-01-15 09:24:07
9楼2016-01-15 19:33:12
【答案】应助回帖
感谢参与,应助指数 +1
|
按照次序规则,原子序数大的在前,小的在后,顺R逆S。(将最末端基团也即原子序数最小的基团已处于竖直方向的竖线上,可直接将其余三者按大小顺序确定其构型;若在水平位置,则直接将其他三个基团按次序规则排序,顺时针S逆R) 发自小木虫Android客户端 |
10楼2016-01-15 20:31:07















回复此楼
