| ²é¿´: 957 | »Ø¸´: 5 | ||
chem¡ªÑ§Ôüгæ (СÓÐÃûÆø)
|
[ÇóÖú]
ÔÚϱ¾¿ÆÑ§Ôü£¬Óм¸µÀÌâÓд𰸲»Öª¹ý³Ì£¬Çó´óÉñ½â´ð£¡£¡²»Ê¤¸Ð¼¤£¡£¡ ÒÑÓÐ1È˲ÎÓë
|
|
1. 25¶È£¬11.2ÉýÑõÆøÓë11.2ÉýµªÆø»ìºÏ³É11.2Éý»ìºÏÆøÌ壬¸Ã¹ý³ÌÎªÊ²Ã´ìØ±äºÍ¼ª²¼Ë¹×ÔÓÉÄܸıäÁ¿¶¼ÊÇÁ㣿 2. ÀíÏëÆøÌå¾øÈȽÚÁ÷ÅòÕÍÈÈÁ¦Ñ§ÄܸıäÁ¿ÎªºÎµÈÓÚÁ㣿 3. NH4HS£¨s£©·ÅÈëÕæ¿ÕÈÝÆ÷ÖУ¬²¢ÓëÆä·Ö½â²úÎïHH3£¨g£©ºÍH2S£¨g£©£©´ïµ½Æ½ºâ£¬Ôò¸ÃϵͳÖжÀÁ¢×é·ÖÊýCΪʲôµÈÓÚ1£¿ ·¢×ÔСľ³æAndroid¿Í»§¶Ë |
» ²ÂÄãϲ»¶
¿ÉÉúÎï½µ½â¾Ûõ¥ÕýÔÚÖØËÜÏÖ´úÒ½ÁÆÆ÷е
ÒѾÓÐ0È˻ظ´
26½ì²©Ê¿ÉêÇë
ÒѾÓÐ4È˻ظ´
Óлú¸ß·Ö×Ó²ÄÁÏÂÛÎÄÈóÉ«/·ÒëÔõôÊÕ·Ñ?
ÒѾÓÐ117È˻ظ´
PLLA ΢ÇòÔÚÉúÎïҽѧÁìÓòµÄÑо¿ÓëÓ¦ÓÃ
ÒѾÓÐ1È˻ظ´
PLLA ΢ÇòµÄ²ÄÁÏÌØÐÔÓëÖÆ±¸¹¤ÒÕ½âÎö
ÒѾÓÐ0È˻ظ´
Ò½ÓþۼºÄÚõ¥£¨PCL£©È«½âÎö£º´ÓÁ½¶Îʽ½µ½âµ½×éÖ¯¹¤³ÌÓ¦ÓÃ
ÒѾÓÐ0È˻ظ´
·´Ïà¹è½ºÈçºÎÔÙÉú£¿
ÒѾÓÐ1È˻ظ´
¹þ¶û±õÀí¹¤´óѧ2026ÄêÑо¿Éúµ÷¼Á£¬²ÄÁÏ¿ÆÑ§Ó뻯ѧ¹¤³ÌѧԺÑо¿Éúµ÷¼Á
ÒѾÓÐ3È˻ظ´
Î人һ±¾¸ßУÕÐÊÕ²ÄÁÏ¡¢»¯Ñ§¡¢¸ß·Ö×Ó¡¢·ÄÖ¯¡¢ÉúÎïÏà¹Ø×¨ÒµË¶Ê¿Éú
ÒѾÓÐ0È˻ظ´
¹ÈÖÐÃ÷
ÖÁ×ðľ³æ (ÖøÃûдÊÖ)
- ICEPI: 19
- Ó¦Öú: 1264 (½²Ê¦)
- ¹ó±ö: 0.482
- ½ð±Ò: 24134.7
- ºì»¨: 182
- Ìû×Ó: 2913
- ÔÚÏß: 1911.3Сʱ
- ³æºÅ: 1883403
- ×¢²á: 2012-07-08
- ÐÔ±ð: GG
- רҵ: ÈÈÁ¦Ñ§
¡¾´ð°¸¡¿Ó¦Öú»ØÌû
¡ï ¡ï ¡ï ¡ï ¡ï ¡ï ¡ï ¡ï ¡ï ¡ï ¡ï ¡ï
¸Ðл²ÎÓ룬ӦÖúÖ¸Êý +1
±ùµã½µÎÂ: ½ð±Ò+2, лл»ØÌû£¬×¨¼ÒÐÁ¿àÀ²£¡ 2016-01-13 11:21:29
chem¡ªÑ§Ôü: ½ð±Ò+8, ¡ï¡ï¡ï¡ï¡ï×î¼Ñ´ð°¸ 2016-01-13 12:41:42
chem¡ªÑ§Ôü: ½ð±Ò+2 2016-01-13 12:42:06
¸Ðл²ÎÓ룬ӦÖúÖ¸Êý +1
±ùµã½µÎÂ: ½ð±Ò+2, лл»ØÌû£¬×¨¼ÒÐÁ¿àÀ²£¡ 2016-01-13 11:21:29
chem¡ªÑ§Ôü: ½ð±Ò+8, ¡ï¡ï¡ï¡ï¡ï×î¼Ñ´ð°¸ 2016-01-13 12:41:42
chem¡ªÑ§Ôü: ½ð±Ò+2 2016-01-13 12:42:06
|
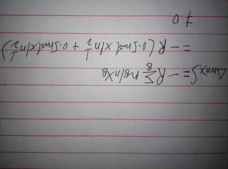
1¡¢Á½Õ߱仯Á¿¾ùΪÁ㣬ÒòΪ»ìºÏºóÆä¸÷×ÔµÄÔ˶¯×´Ì¬¾ùΪ¸Ä±ä¡£ 2¡¢ÈÈÁ¦Ñ§ÄܸıäÁ¿ÊǵÈÓÚÁ㣬ÒòΪ¾øÈȽÚÁ÷ÅòÕÍÊǺãìʵĹý³Ì£¬¶øÀíÏëÆøÌåµÄH¡¢UÖ»ÊÇζȵĺ¯Êý£¬Òò´ËH²»±ä£¬ÔòζȲ»±ä£¬UÒ²²»±ä¡£ 3¡¢ÌåϵµÄÎïÖÖÊýΪ3£¬µ«´æÔÚÒ»¸ö¶ÀÁ¢µÄ»¯Ñ§Æ½ºâÏÞÖÆÌõ¼þ£¬ÒòÆðʼûÓÐÉú³ÉÎÔòÉú³ÉµÄHH3(g)ºÍH2S(g)µÄŨ¶ÈÏàͬ£¬ÇÒÔÚͬһÏàÖУ¬¹Ê´æÔÚÒ»¸öŨ¶ÈÏÞÖÆÌõ¼þ¡£C=3-1-1=1 |
2Â¥2016-01-13 10:29:03
chem¡ªÑ§Ôü
гæ (СÓÐÃûÆø)
- Ó¦Öú: 1 (Ó×¶ùÔ°)
- ½ð±Ò: 1740.9
- É¢½ð: 226
- ºì»¨: 2
- Ìû×Ó: 206
- ÔÚÏß: 31.3Сʱ
- ³æºÅ: 4341273
- ×¢²á: 2016-01-07
- רҵ: ¼ÆËã»úÈí¼þ
±ùµã½µÎÂ: ·¢ÌûǰעÒâ°ÑͼƬÐýתÖÁÕý³£ÔĶÁλÖᣠ2016-01-13 11:22:02
|
ÄúºÃ£¡Ð»Ð»»Ø¸´£¡µ«µÚÒ»¸öÎÊÌâÎÒÏëÎÊ£¬ÓÃÕâ¸ö¹«Ê½Äܲ»ÄÜË㣬½á¹û²»ÎªÁãÊÇÄÄÀïËã´íÁË£¿ ·¢×ÔСľ³æAndroid¿Í»§¶Ë |
3Â¥2016-01-13 10:53:08
¹ÈÖÐÃ÷
ÖÁ×ðľ³æ (ÖøÃûдÊÖ)
- ICEPI: 19
- Ó¦Öú: 1264 (½²Ê¦)
- ¹ó±ö: 0.482
- ½ð±Ò: 24134.7
- ºì»¨: 182
- Ìû×Ó: 2913
- ÔÚÏß: 1911.3Сʱ
- ³æºÅ: 1883403
- ×¢²á: 2012-07-08
- ÐÔ±ð: GG
- רҵ: ÈÈÁ¦Ñ§
4Â¥2016-01-13 15:23:14
chem¡ªÑ§Ôü
гæ (СÓÐÃûÆø)
- Ó¦Öú: 1 (Ó×¶ùÔ°)
- ½ð±Ò: 1740.9
- É¢½ð: 226
- ºì»¨: 2
- Ìû×Ó: 206
- ÔÚÏß: 31.3Сʱ
- ³æºÅ: 4341273
- ×¢²á: 2016-01-07
- רҵ: ¼ÆËã»úÈí¼þ
5Â¥2016-01-13 16:49:23
ÌìÑÄD
Òø³æ (СÓÐÃûÆø)
- Ó¦Öú: 4 (Ó×¶ùÔ°)
- ½ð±Ò: 509.7
- É¢½ð: 18
- Ìû×Ó: 198
- ÔÚÏß: 50.2Сʱ
- ³æºÅ: 2722903
- ×¢²á: 2013-10-14
- ÐÔ±ð: GG
- רҵ: ´«ÈÈ´«ÖÊѧ
6Â¥2016-01-14 11:35:21













»Ø¸´´ËÂ¥