| ²é¿´: 1030 | »Ø¸´: 3 | ||
20070276Òø³æ (³õÈëÎÄ̳)
|
[ÇóÖú]
×迹Æ×²»»á·ÖÎö£¬ Çó´óÉñ½âÊÍһϠÒÑÓÐ1È˲ÎÓë
|
¸¯Ê´¿ÆÑ§Óë·À»¤ |
» ²ÂÄãϲ»¶
µç×ӿƼ¼´óѧ²ÄÁÏѧԺÍõÁˆ½ÌÊÚÄâÕÐÊÕ¹¤³Ì²©Ê¿Ò»Ãû£¨»¯Ñ§¡¢²ÄÁÏ·½Ïò£©
ÒѾÓÐ4È˻ظ´
ºþÄÏũҵ´óѧÄÜÔ´²ÄÁÏ´´ÐÂÍŶÓÕÐÊÕ2026»¯Ñ§×¨ÒµÑо¿Éú£¨Ñ§Ë¶£©µ÷¼Á
ÒѾÓÐ8È˻ظ´
ÎïÀí»¯Ñ§ÂÛÎÄÈóÉ«/·ÒëÔõôÊÕ·Ñ?
ÒѾÓÐ223È˻ظ´
°Â¶û±¤Xinxin Xiao¿ÎÌâ×éÕÐÊÕÒ»Ãû¸ÚÎ»ÖÆ²©Ê¿£¨Ã¸»ùÉúÎïµç»¯Ñ§£©
ÒѾÓÐ0È˻ظ´
¼ÃÄÏ´óѧ ²ÄÁÏ¿ÆÑ§Ó빤³Ì Àî½ð¿¿ÎÌâ×é ÕÐÊÕµ÷¼ÁÉú2Ãû£¨2026¼¶£©
ÒѾÓÐ0È˻ظ´
Synthesis of NCo@CNT-NFT Hierarchical Carbon Dendrites.
ÒѾÓÐ0È˻ظ´
AgÄÉÃײÄÁÏ
ÒѾÓÐ0È˻ظ´
³¤´º¹¤³ÌѧԺÊÐÕþ¹¤³Ì·½ÏòÓв¿·Öµ÷¼ÁÃû¶î£¬»¶Ó´ó¼Òµ÷¼Áµ½ÎÒУ
ÒѾÓÐ0È˻ظ´
Õе÷¼Á
ÒѾÓÐ0È˻ظ´
26Äêµç³Ø·½Ïò²©Ê¿ÉêÇë
ÒѾÓÐ2È˻ظ´
Ô˶¯¿µ¸´Çóµ÷¼Á
ÒѾÓÐ0È˻ظ´
6¸ö×Ö·û
ͳæ (СÓÐÃûÆø)
- Ó¦Öú: 14 (СѧÉú)
- ½ð±Ò: 117.5
- ºì»¨: 2
- Ìû×Ó: 102
- ÔÚÏß: 30.8Сʱ
- ³æºÅ: 3439376
- ×¢²á: 2014-09-24
- ÐÔ±ð: GG
- רҵ: µç»¯Ñ§
¡¾´ð°¸¡¿Ó¦Öú»ØÌû
¸Ðл²ÎÓ룬ӦÖúÖ¸Êý +1
|
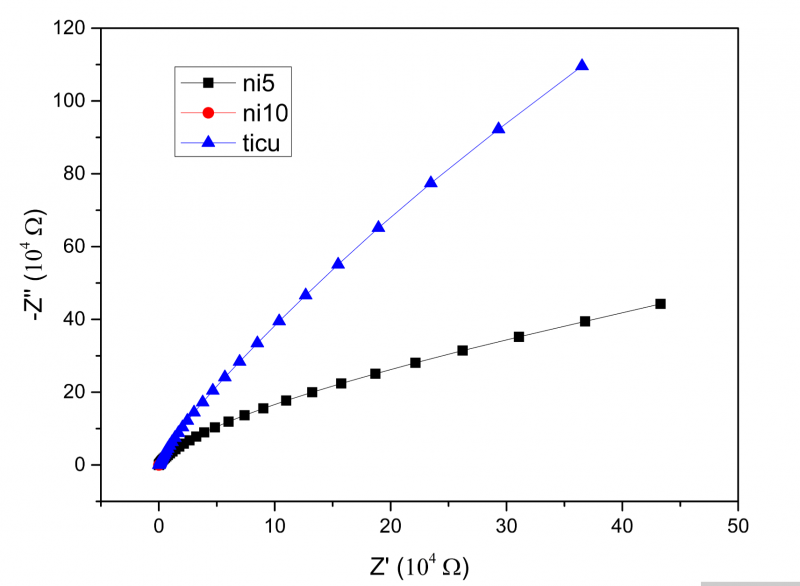
´ÓÄãµÄNyquistͼ¿ÉÒÔ¿´µ½£¬ºìÉ«´ú±íµÄÑùÆ·ËûµÄ×迹Æäʵ·Ç³£Ð¡£¬ÊýÁ¿¼¶Ïà¶ÔÓÚÆäËû2¸öÑùÆ·ÊǷdz£Ð¡µÄ£¨ÒÔÖÁÓÚ²»·Å´óµÄ¿´µÄ»°¶¼¿´²»¼û£©£¬Òò´ËÔÚ×Ý×ø±ê´ú±íÑùÆ·µÄ×迹µÄBodeͼÖУ¬Äã°Ñ3¸öÑùÆ·µÄÊý¾Ý·ÅÔÚÒ»ÆðµÄ»°£¬ºìÉ«Ïß´ú±íÑùÆ·µÄ×迹Ïà¶ÔÀ´Ëµ·Ç³£Ð¡£¬ÔÚͬһÌõ×ø±êÖáÉÏ£¬×ÔÈ»¾ÍºÜµÍ£¬Ò²¾ÍÊÇÂ¥Ö÷Äã˵µÄƽÁË£¬ÕâÊǷdz£Õý³£µÄ¡£ À¶É«ÑùÆ·µÄ·å¹ÈÓ¦¸Ã´ú±íµÄÊdzöÏÖÁË2¸öʱ¼ä³£Êý£¬ÒòΪƵÂÊȡֵµÄ·¶Î§ÏÞÖÆ£¬¿´²»µ½ÍêÕûµÄÔ²»¡¡£ ÎÒ½Ó´¥EISҲû¶à¾Ã£¬ÈçÓв»µ±£¬ÇëÖ¸Õý£¬Ð»Ð»£¡ |
» ±¾ÌûÒÑ»ñµÃµÄºì»¨£¨×îÐÂ10¶ä£©

2Â¥2016-01-12 16:19:16
20070276
Òø³æ (³õÈëÎÄ̳)
- Ó¦Öú: 0 (Ó×¶ùÔ°)
- ½ð±Ò: 338.8
- É¢½ð: 10
- Ìû×Ó: 32
- ÔÚÏß: 29.7Сʱ
- ³æºÅ: 3447146
- ×¢²á: 2014-09-28
- ÐÔ±ð: GG
- רҵ: ÑÒÍÁÓë»ù´¡¹¤³Ì
3Â¥2016-01-12 17:53:01
6¸ö×Ö·û
ͳæ (СÓÐÃûÆø)
- Ó¦Öú: 14 (СѧÉú)
- ½ð±Ò: 117.5
- ºì»¨: 2
- Ìû×Ó: 102
- ÔÚÏß: 30.8Сʱ
- ³æºÅ: 3439376
- ×¢²á: 2014-09-24
- ÐÔ±ð: GG
- רҵ: µç»¯Ñ§

4Â¥2016-01-12 19:12:04













»Ø¸´´ËÂ¥
20070276