| ²é¿´: 406 | »Ø¸´: 2 | |||
lshyflybaľ³æ (СÓÐÃûÆø)
|
[½»Á÷]
cfx˲̬ģÄâÈçºÎÉèÖÃx·½ÏòÌø¶¯
|
|
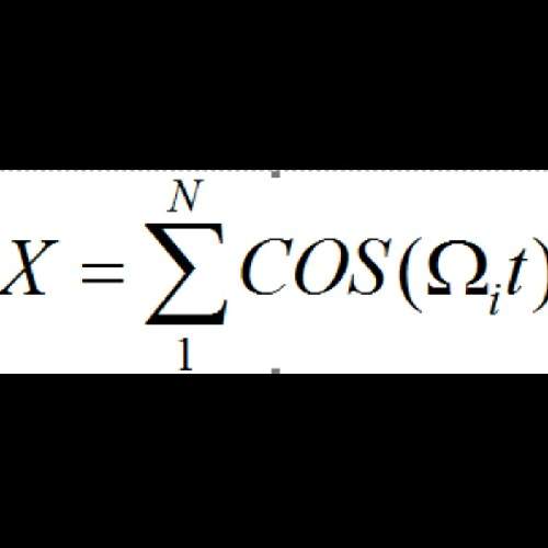
x·½ÏòÌø¶¯·½³ÌʽΪ ·¢×ÔСľ³æAndroid¿Í»§¶Ë |
» ²ÂÄãϲ»¶
265Çóµ÷¼Á
ÒѾÓÐ6È˻ظ´
²ÄÁÏÇóµ÷¼Á
ÒѾÓÐ13È˻ظ´
Ò»Ö¾Ô¸Ö£ÖÝ´óѧ²ÄÁÏÓ뻯¹¤085600£¬Çóµ÷¼Á
ÒѾÓÐ26È˻ظ´
070300»¯Ñ§279Çóµ÷¼Á
ÒѾÓÐ18È˻ظ´
²ÄÁϵ÷¼Á
ÒѾÓÐ8È˻ظ´
»¯¹¤Çóµ÷¼Á£¡
ÒѾÓÐ6È˻ظ´
290Çóµ÷¼Á085701
ÒѾÓÐ11È˻ظ´
085600²ÄÁÏÓ뻯¹¤×¨Ë¶329 Çóµ÷¼Á
ÒѾÓÐ6È˻ظ´
295Çóµ÷¼Á
ÒѾÓÐ15È˻ظ´
Ò»Ö¾Ô¸ºÓ±±¹¤Òµ´óѧ²ÄÁϹ¤³Ì£¬³õÊÔ344Çóר˶µ÷¼Á
ÒѾÓÐ6È˻ظ´
2Â¥2016-01-12 16:39:57
lshyflyba
ľ³æ (СÓÐÃûÆø)
- Ó¦Öú: 5 (Ó×¶ùÔ°)
- ½ð±Ò: 1318.2
- É¢½ð: 10
- ºì»¨: 2
- Ìû×Ó: 239
- ÔÚÏß: 65.5Сʱ
- ³æºÅ: 3181592
- ×¢²á: 2014-05-05
- רҵ: ÌìÎÄѧ
3Â¥2016-01-12 16:45:36














»Ø¸´´ËÂ¥