| ²é¿´: 610 | »Ø¸´: 1 | ||
476054377½ð³æ (ÖøÃûдÊÖ)
|
[ÇóÖú]
¹ØÓÚ»¯ºÏÎïµÄNOESYÎÊÌâ ÒÑÓÐ1È˲ÎÓë
|
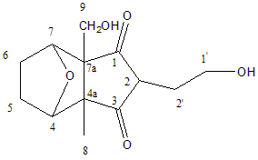
RT:»¯ºÏÎï½á¹¹ÒѾ½âÎö³öÀ´ÁË£¨Ò²×öÁËHMBCºÍMS£©¡£ÏÖÔÚÏëÎÊÏ£¬ÎÒÕâ½á¹¹ÐèÒª×ö¸öNOEÂð£¿Ìý˵×öNOEÊÇÈ·¶¨¹¹ÐÍ£¬ÄÇÎÒÕâ¸ö»¯ºÏÎïµÄ¹¹ÐÍÊÇÈçºÎÄØ£¿´óÅ£°ïÎÒ½â´ðÏÂ![]() ![]() ![]() ![]() ![]() BM-3.png |
» ²ÂÄãϲ»¶
26µ÷¼Á 086003
ÒѾÓÐ3È˻ظ´
265Çóµ÷¼Á
ÒѾÓÐ20È˻ظ´
271·ÖÇóµ÷¼ÁѧУ
ÒѾÓÐ11È˻ظ´
320·ÖÈ˹¤ÖÇÄܵ÷¼Á
ÒѾÓÐ6È˻ظ´
Çóµ÷¼Á£¬Ò»Ö¾Ô¸ÄϾ©º½¿Õº½Ìì´óѧ £¬080500²ÄÁÏ¿ÆÑ§Ó빤³Ìѧ˶
ÒѾÓÐ8È˻ظ´
280Çóµ÷¼Á
ÒѾÓÐ19È˻ظ´
Çó²ÄÁϵ÷¼Á£¬Ò»Ö¾Ô¸Ö£ÖÝ´óѧ289·Ö
ÒѾÓÐ15È˻ظ´
26¿¼Ñе÷¼Á0710 0860
ÒѾÓÐ6È˻ظ´
282Çóµ÷¼Á
ÒѾÓÐ22È˻ظ´
283Çóµ÷¼Á
ÒѾÓÐ5È˻ظ´
Cpuli87
ľ³æ (ÕýʽдÊÖ)
- Ó¦Öú: 77 (³õÖÐÉú)
- ½ð±Ò: 1957.2
- É¢½ð: 107
- ºì»¨: 2
- Ìû×Ó: 434
- ÔÚÏß: 327.5Сʱ
- ³æºÅ: 876210
- ×¢²á: 2009-10-18
- ÐÔ±ð: GG
- רҵ: ÌìȻҩÎﻯѧ
2Â¥2016-01-12 10:28:34















»Ø¸´´ËÂ¥