| 查看: 1324 | 回复: 1 | |
大熊6783至尊木虫 (著名写手)
|
[求助]
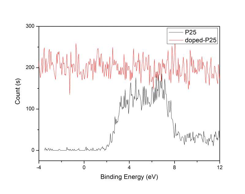
请高手帮我分析一下这种XPS价带测试怎么解释 已有1人参与
|
|
|
|
|
2楼2016-01-11 20:13:42
|
|














回复此楼