24小时热门版块排行榜    

查看: 446  |  回复: 0

mo37773

铁虫 (著名写手)

[求助] 请教这样的图怎么画?

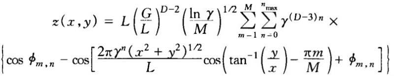
请教下面的图用matlab怎么画?
请教这样的图怎么画?

这张图用的公式是
请教这样的图怎么画?-1

参数意义:
请教这样的图怎么画?-2

相关参数取值为 D=2.6; L=4*E-6  m(科学记数法);G=5*E-12  m;y=1.5; M=10; Ls=6*E-7 m

我用以下程序就是画,就是和它不一样。颜色标识也不一样.
L=4;
r=1.7;
a=0.0625:0.0625:L;
b=0.0625:0.0625:L;
[x,y]=meshgrid(a,b);
t=0;
for m=1:10
for n=0:2
temp=(r.^(-0.4*n))*(cos(0.5*pi)-cos((2*pi*sqrt(x.^2+y.^2)*r.^n)./L*cos(atan(y./x)-pi*m/10)+0.5*pi));
t=t+temp;
end
end
z=16.7*t;
h=meshz(x,y,z);
回复此楼
已阅   回复此楼   关注TA 给TA发消息 送TA红花 TA的回帖
相关版块跳转 我要订阅楼主 mo37773 的主题更新
最具人气热帖推荐 [查看全部] 作者 回/看 最后发表
[考研] 材料学硕301分求调剂 +7 Liyouyumairs 2026-03-21 7/350 2026-03-21 22:31 by peike
[考研] 311求调剂 +13 冬十三 2026-03-15 14/700 2026-03-21 22:10 by peike
[考研] 307求调剂 +3 余意卿 2026-03-18 3/150 2026-03-21 17:31 by ColorlessPI
[考研] 南昌大学材料专硕311分求调剂 +6 77chaselx 2026-03-20 6/300 2026-03-21 07:24 by JourneyLucky
[考研] 初始318分求调剂(有工作经验) +3 1911236844 2026-03-17 3/150 2026-03-21 02:33 by JourneyLucky
[考研] 材料专业求调剂 +6 hanamiko 2026-03-18 6/300 2026-03-21 00:24 by JourneyLucky
[考研] 304求调剂 +7 司空. 2026-03-18 7/350 2026-03-20 23:08 by JourneyLucky
[考研] 考研调剂求学校推荐 +3 伯乐29 2026-03-18 5/250 2026-03-20 22:59 by JourneyLucky
[考研] 350求调剂 +5 weudhdk 2026-03-19 5/250 2026-03-20 22:04 by luoyongfeng
[考研] 北科281学硕材料求调剂 +5 tcxiaoxx 2026-03-20 5/250 2026-03-20 21:35 by laoshidan
[考研] 材料学硕297已过四六级求调剂推荐 +11 adaie 2026-03-19 11/550 2026-03-20 21:30 by laoshidan
[考研] 298-一志愿中国农业大学-求调剂 +9 手机用户 2026-03-17 9/450 2026-03-20 14:24 by 无懈可击111
[考研] 085410人工智能专硕317求调剂(0854都可以) +4 xbxudjdn 2026-03-18 4/200 2026-03-20 09:07 by 不168
[考博] 申博26年 +3 八6八68 2026-03-19 3/150 2026-03-19 19:43 by nxgogo
[考研] 085601材料工程专硕求调剂 +10 慕寒mio 2026-03-16 10/500 2026-03-19 15:26 by 丁丁*
[考研] 085600材料与化工调剂 324分 +10 llllkkkhh 2026-03-18 12/600 2026-03-19 14:33 by llllkkkhh
[考研] 材料,纺织,生物(0856、0710),化学招生啦 +3 Eember. 2026-03-17 9/450 2026-03-18 10:28 by Eember.
[考研] 302求调剂 +4 小贾同学123 2026-03-15 8/400 2026-03-17 10:33 by 小贾同学123
[考研] 一志愿,福州大学材料专硕339分求调剂 +3 木子momo青争 2026-03-15 3/150 2026-03-17 07:52 by laoshidan
[考研] 0856求调剂 +3 刘梦微 2026-03-15 3/150 2026-03-16 10:00 by houyaoxu
信息提示
请填处理意见