| 查看: 503 | 回复: 3 | |
yummyking新虫 (正式写手)
|
[求助]
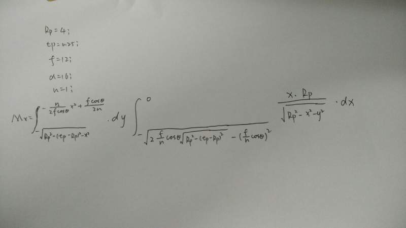
这个式子怎么用matlab计算?我的matlab版本是2011b
|
|
|
|
hlg154003231金虫 (小有名气)
|
|
|
2楼2016-01-11 19:10:52
|
|
yummyking新虫 (正式写手)
|
|
|
3楼2016-01-11 20:47:46
|
|
yummyking新虫 (正式写手)
|
|
|
4楼2016-01-11 20:48:36
|
|














回复此楼