| 查看: 2207 | 回复: 9 | |||
hui470新虫 (小有名气)
|
[求助]
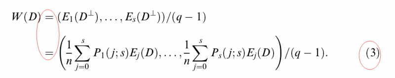
TEX中等号对齐问题 已有3人参与
|
||
|
|
|||
wurongjun专家顾问 (职业作家)
|
|||
![]() |
|||
|
2楼2016-01-06 19:13:24
|
|
||
Edstrayer版主 (著名写手)
方寸斗室小天地正气迷漫大世界
|
|||
![]() |
|||
|
3楼2016-01-06 19:13:55
|
|
||
hui470新虫 (小有名气)
|
|||
|
4楼2016-01-06 19:17:03
|
|
||
hui470新虫 (小有名气)
|
|||
|
5楼2016-01-06 19:18:34
|
|
||
立迷特木虫 (小有名气)
|
|||
|
6楼2016-01-06 21:03:44
|
|
||
hui470新虫 (小有名气)
|
|||
|
7楼2016-01-06 22:53:32
|
|
||
|
8楼2016-01-07 07:03:20
|
|
||
|
|||
|
9楼2016-01-13 14:27:00
|
|
||
wangxd0228木虫 (著名写手)
|
|||
![]() |
|||
|
10楼2020-05-15 20:47:01
|
|














回复此楼


