| ²é¿´: 755 | »Ø¸´: 2 | |
À˳±-ΰľ³æ (³õÈëÎÄ̳)
|
[ÇóÖú]
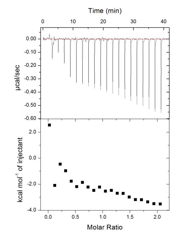
Çó´óÉñ°ïæ½âÊÍÒ»ÏÂITC½á¹û
|
![]() |
|
|
|
|
bioplotterгæ (ÕýʽдÊÖ)
|
|
|
2Â¥2016-01-06 06:33:07
|
|
À˳±-ΰľ³æ (³õÈëÎÄ̳)
|
|
![]() |
|
|
3Â¥2016-01-06 09:46:57
|
|













»Ø¸´´ËÂ¥
20