| 查看: 2449 | 回复: 1 | ||
[交流]
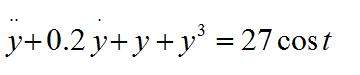
请问以下显示的杜芬方程的吸引域如何用matlab编程画呢? 已有1人参与
|
2楼2020-06-19 15:41:58














回复此楼