| 查看: 1609 | 回复: 5 | ||
[求助]
求助,利用mathematica进行符号运算
|
|
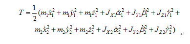
楼主这段时间在推一个振动系统的振动,方程规模很大所以想利用mathematica进行符号运算,第一次用这个软件不是特别熟练,目前遇到了一些问题想请教下大家,先把截图贴出来。 1.PNG 2.PNG 3.PNG |
» 猜你喜欢
售SCI一区文章,我:8 O5 51O 54,科目齐全,可+急
已经有5人回复
售SCI一区文章,我:8 O5 51O 54,科目齐全,可+急
已经有4人回复
售SCI一区文章,我:8 O5 51O 54,科目齐全,可+急
已经有6人回复
售SCI一区文章,我:8 O5 51O 54,科目齐全,可+急
已经有6人回复
售SCI一区文章,我:8 O5 51O 54,科目齐全,可+急
已经有11人回复
售SCI一区文章,我:8 O5 51O 54,科目齐全,可+急
已经有9人回复
球磨粉体时遇到了大的问题,请指教!
已经有14人回复
售SCI一区文章,我:8 O5 51O 54,科目齐全,可+急
已经有4人回复
售SCI一区文章,我:8 O5 51O 54,科目齐全,可+急
已经有4人回复
情人节自我反思:在爱情中有过遗憾吗?
已经有5人回复
2楼2016-01-04 11:36:36
3楼2016-01-04 11:38:49
Marton21th
新虫 (小有名气)
- 应助: 0 (幼儿园)
- 金币: 202.6
- 帖子: 70
- 在线: 10.5小时
- 虫号: 4187983
- 注册: 2015-10-31
- 性别: GG
- 专业: 固体力学
4楼2016-01-04 11:48:26
5楼2016-01-04 14:58:58
6楼2017-04-13 10:11:21













回复此楼