| ²é¿´: 513 | »Ø¸´: 3 | ||
³Á˼µÄÕ¾³¤Òø³æ (³õÈëÎÄ̳)
|
[ÇóÖú]
ÇëÎÊÒ»Ìõ¹ØÓÚ¸µÁ¢Ò¶µÄÌâÄ¿ ÒÑÓÐ1È˲ÎÓë
|
|
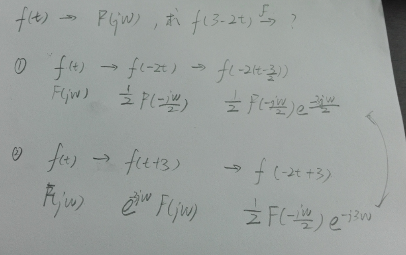
СÉúÇë½Ì¸÷·¸ßÊÖ£¬ÒòΪÎÒÓò»Í¬µÄ±ä»»¸µÁ¢Ò¶»áµÃ³ö²»Í¬µÄ½á¹û£¬ÇëÎÊÄĸöÊǶԵÄÄØ£¿£¿ÎҸоõÎÒ¶¼Ã»±ä»»´í£¬£¬²»¹ýÎÒ×ܸоõµÚÒ»¸öÊǶԵģ¿ |
» ²ÂÄãϲ»¶
278Çóµ÷¼Á
ÒѾÓÐ9È˻ظ´
297Çóµ÷¼Á
ÒѾÓÐ12È˻ظ´
0703»¯Ñ§297Çóµ÷¼Á
ÒѾÓÐ3È˻ظ´
²ÄÁÏѧ˶301·ÖÇóµ÷¼Á
ÒѾÓÐ6È˻ظ´
280Çóµ÷¼Á
ÒѾÓÐ11È˻ظ´
311Çóµ÷¼Á
ÒѾÓÐ3È˻ظ´
Çóµ÷¼Á
ÒѾÓÐ3È˻ظ´
313Çóµ÷¼Á
ÒѾÓÐ4È˻ظ´
317Çóµ÷¼Á
ÒѾÓÐ15È˻ظ´
307Çóµ÷¼Á
ÒѾÓÐ3È˻ظ´

СÂß¼
½ð³æ (СÓÐÃûÆø)
- Ó¦Öú: 12 (СѧÉú)
- ½ð±Ò: 495.4
- ºì»¨: 1
- Ìû×Ó: 93
- ÔÚÏß: 87.5Сʱ
- ³æºÅ: 1806275
- ×¢²á: 2012-05-09
- ÐÔ±ð: GG
- רҵ: Äý¾Û̬ÎïÐÔ II £ºµç×ӽṹ
¡¾´ð°¸¡¿Ó¦Öú»ØÌû
¸Ðл²ÎÓ룬ӦÖúÖ¸Êý +1
|
°³²»ÊǸßÊÖ µÚ¶þ¸ö´í£¬´íÎóÓÐÁ½´¦¡£µÚÒ»¸ö¼ýÍ·ºóeµÄÖ¸Êý²»Ó¦¸ÃÓиººÅ£»µÚÒ»¸ö´íÎó¸Äµô£¬µÚ¶þ¸ö¼ýÍ·ºóeµÄÖ¸ÊýÒ²Òª³ýÒÔ-2 |
» ±¾ÌûÒÑ»ñµÃµÄºì»¨£¨×îÐÂ10¶ä£©
2Â¥2016-01-01 13:45:10
³Á˼µÄÕ¾³¤
Òø³æ (³õÈëÎÄ̳)
- Ó¦Öú: 0 (Ó×¶ùÔ°)
- ½ð±Ò: 428.3
- Ìû×Ó: 35
- ÔÚÏß: 9.3Сʱ
- ³æºÅ: 3638281
- ×¢²á: 2015-01-10
- ÐÔ±ð: GG
- רҵ: µçÁ¦µç×Óѧ

3Â¥2016-01-01 14:11:33
СÂß¼
½ð³æ (СÓÐÃûÆø)
- Ó¦Öú: 12 (СѧÉú)
- ½ð±Ò: 495.4
- ºì»¨: 1
- Ìû×Ó: 93
- ÔÚÏß: 87.5Сʱ
- ³æºÅ: 1806275
- ×¢²á: 2012-05-09
- ÐÔ±ð: GG
- רҵ: Äý¾Û̬ÎïÐÔ II £ºµç×ӽṹ
4Â¥2016-01-01 20:04:08













»Ø¸´´ËÂ¥
³Á˼µÄÕ¾³¤
40