| ²é¿´: 6360 | »Ø¸´: 8 | ||
jjsh310½ð³æ (СÓÐÃûÆø)
|
[ÇóÖú]
ËIJÎÊýÄâºÏÓÃÄÇÖÖÈí¼þ¼´×¨ÒµÓÖ¼òµ¥£¬ÊʺÏÐÂÊÖ²Ù×÷£¿ ÒÑÓÐ2È˲ÎÓë
|
|
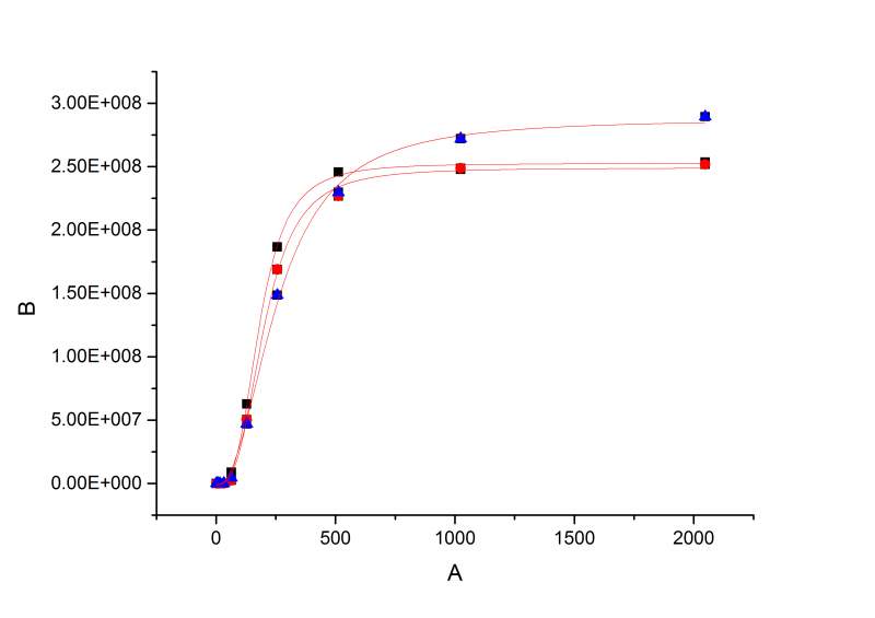
×î½üÒª×öÒ»¸öËIJÎÄâºÏÇúÏߣ¬ÓÃÁ˺öàÖÖÈí¼þÒ²²»ÖªµÀÄâºÏµÄ¶Ô²»¶Ô¡£ ÓÃÁËOrigin 8£¬BCDÁеÄÊý¾ÝÊÇ3¸ö¸´¿×£¬½á¹ûÄâºÏ³öÁËÈýÌõÇúÏߣ¬¿ÉÒÔÄâºÏµ½Ò»ÌõÊý¾Ýµã´øSDµÄÇúÏßÀïÂ𣿠¸½ÊµÑéÊý¾Ý£¬Ï£Íû´ó¼Ò°ï°ï棬¸øÎÒ·¢Ò»·ÝÄâºÏ½á¹û¡£ |
» ±¾Ìû¸½¼þ×ÊÔ´Áбí
-
»¶Ó¼à¶½ºÍ·´À¡£ºÐ¡Ä¾³æ½öÌṩ½»Á÷ƽ̨£¬²»¶Ô¸ÃÄÚÈݸºÔð¡£
±¾ÄÚÈÝÓÉÓû§×ÔÖ÷·¢²¼£¬Èç¹ûÆäÄÚÈÝÉæ¼°µ½ÖªÊ¶²úȨÎÊÌ⣬ÆäÔðÈÎÔÚÓÚÓû§±¾ÈË£¬Èç¶Ô°æÈ¨ÓÐÒìÒ飬ÇëÁªÏµÓÊÏ䣺xiaomuchong@tal.com - ¸½¼þ 1 : 20151230.opj
2015-12-30 14:23:29, 347 K
» ²ÂÄãϲ»¶
ɽÎ÷´óͬ´óѧÎïÀíѧ˶ʿÑо¿ÉúÕÐÊÕµ÷¼ÁÉú
ÒѾÓÐ0È˻ظ´
[µ÷¼ÁÐÅÏ¢]211ÖÇÄÜÈ˹¤¸ÐÖª·½Ïò¹ú¼ÒÇàÄêÌØÆ¸×¨¼Ò¿ÎÌâ×éÕÐÊÕµ÷¼ÁÑо¿Éú
ÒѾÓÐ0È˻ظ´
ÎïÀíѧIÂÛÎÄÈóÉ«/·ÒëÔõôÊÕ·Ñ?
ÒѾÓÐ144È˻ظ´
£Ûµ÷¼ÁÐÅÏ¢£Ý211ÖÇÄÜÈ˹¤¸ÐÖª·½Ïò¹ú¼ÒÇàÄêÌØÆ¸×¨¼Ò¿ÎÌâ×éÕÐÊÕµ÷¼ÁÑо¿Éú
ÒѾÓÐ0È˻ظ´
[µ÷¼ÁÐÅÏ¢]211ÖÇÄÜÈ˹¤¸ÐÖª·½Ïò¹ú¼ÒÇàÄêÌØÆ¸×¨¼Ò¿ÎÌâ×éÕÐÊÕµ÷¼ÁÑо¿Éú
ÒѾÓÐ0È˻ظ´
0702Ò»Ö¾Ô¸¼ª´óBÇøÇóµ÷¼Á ±¾¿ÆÆÚ¼ä·¢±íһƪSci
ÒѾÓÐ2È˻ظ´
070200Çóµ÷¼Á£¬Ò»Ö¾Ô¸Ä³211£¬288·Ö
ÒѾÓÐ18È˻ظ´
·¨¹ú²©Ê¿ºóְλ
ÒѾÓÐ0È˻ظ´
ÖØÇì½»´ó26Äê˶ʿÉúÕÐÉúÄâµ÷¼Á֪ͨÒѳö£¡»¶Ó¼ÓÈë»úÆ÷ÊÓ¾õÓë3D¹âѧ³ÉÏñ¿ÎÌâ×é¡£
ÒѾÓÐ0È˻ظ´

dingd
Ìú¸Ëľ³æ (Ö°Òµ×÷¼Ò)
- ¼ÆËãÇ¿Ìû: 4
- Ó¦Öú: 1641 (½²Ê¦)
- ½ð±Ò: 15037.3
- É¢½ð: 101
- ºì»¨: 234
- Ìû×Ó: 3410
- ÔÚÏß: 1223.7Сʱ
- ³æºÅ: 291104
- ×¢²á: 2006-10-28
2Â¥2015-12-30 16:19:56
Ronny_chou
ľ³æ (ÕýʽдÊÖ)
- Ó¦Öú: 43 (СѧÉú)
- ½ð±Ò: 3031.5
- É¢½ð: 16
- ºì»¨: 14
- Ìû×Ó: 485
- ÔÚÏß: 313Сʱ
- ³æºÅ: 2537599
- ×¢²á: 2013-07-08
- רҵ: ·ÖÀë¹ý³Ì
¡¾´ð°¸¡¿Ó¦Öú»ØÌû
¡ï ¡ï ¡ï ¡ï ¡ï
¸Ðл²ÎÓ룬ӦÖúÖ¸Êý +1
jjsh310: ½ð±Ò+5, ¡ï¡ï¡ï¡ï¡ï×î¼Ñ´ð°¸, ÄúºÃ£¡ÇëÎÊÄܲ»ÄÜ×ö³öYÖµÊǸ´¿×µÄƽ¾ùÖµ£¨´ø×ÅÎó²îÏߣ©µÄÄâºÏÇúÏߣ¿ 2016-01-01 19:38:44
¸Ðл²ÎÓ룬ӦÖúÖ¸Êý +1
jjsh310: ½ð±Ò+5, ¡ï¡ï¡ï¡ï¡ï×î¼Ñ´ð°¸, ÄúºÃ£¡ÇëÎÊÄܲ»ÄÜ×ö³öYÖµÊǸ´¿×µÄƽ¾ùÖµ£¨´ø×ÅÎó²îÏߣ©µÄÄâºÏÇúÏߣ¿ 2016-01-01 19:38:44
3Â¥2015-12-31 16:08:13
prthefu
ľ³æ (ÖøÃûдÊÖ)
- Ó¦Öú: 20 (СѧÉú)
- ½ð±Ò: 2573.9
- É¢½ð: 81
- ºì»¨: 14
- ɳ·¢: 1
- Ìû×Ó: 1551
- ÔÚÏß: 187Сʱ
- ³æºÅ: 3083070
- ×¢²á: 2014-03-24
- ÐÔ±ð: MM
- רҵ: ÉúÎﺣÑóѧÓ뺣ÑóÉúÎï×ÊÔ´

4Â¥2019-08-23 10:11:23
¶À¹ÂÉñÓî
°æÖ÷ (ÖªÃû×÷¼Ò)
- Ó¦Öú: 490 (˶ʿ)
- ¹ó±ö: 0.008
- ½ð±Ò: 31016.3
- É¢½ð: 802
- ºì»¨: 122
- ɳ·¢: 1
- Ìû×Ó: 5600
- ÔÚÏß: 856.5Сʱ
- ³æºÅ: 3522474
- ×¢²á: 2014-11-06
- ÐÔ±ð: GG
- רҵ: »úе¶¯Á¦Ñ§
- ¹ÜϽ: ¼ÆËãÄ£Äâ

5Â¥2019-08-23 15:04:32
prthefu
ľ³æ (ÖøÃûдÊÖ)
- Ó¦Öú: 20 (СѧÉú)
- ½ð±Ò: 2573.9
- É¢½ð: 81
- ºì»¨: 14
- ɳ·¢: 1
- Ìû×Ó: 1551
- ÔÚÏß: 187Сʱ
- ³æºÅ: 3083070
- ×¢²á: 2014-03-24
- ÐÔ±ð: MM
- רҵ: ÉúÎﺣÑóѧÓ뺣ÑóÉúÎï×ÊÔ´

6Â¥2019-08-23 16:00:25
¶À¹ÂÉñÓî
°æÖ÷ (ÖªÃû×÷¼Ò)
- Ó¦Öú: 490 (˶ʿ)
- ¹ó±ö: 0.008
- ½ð±Ò: 31016.3
- É¢½ð: 802
- ºì»¨: 122
- ɳ·¢: 1
- Ìû×Ó: 5600
- ÔÚÏß: 856.5Сʱ
- ³æºÅ: 3522474
- ×¢²á: 2014-11-06
- ÐÔ±ð: GG
- רҵ: »úе¶¯Á¦Ñ§
- ¹ÜϽ: ¼ÆËãÄ£Äâ

7Â¥2019-08-23 16:36:44
prthefu
ľ³æ (ÖøÃûдÊÖ)
- Ó¦Öú: 20 (СѧÉú)
- ½ð±Ò: 2573.9
- É¢½ð: 81
- ºì»¨: 14
- ɳ·¢: 1
- Ìû×Ó: 1551
- ÔÚÏß: 187Сʱ
- ³æºÅ: 3083070
- ×¢²á: 2014-03-24
- ÐÔ±ð: MM
- רҵ: ÉúÎﺣÑóѧÓ뺣ÑóÉúÎï×ÊÔ´

8Â¥2019-08-23 18:03:10
¶À¹ÂÉñÓî
°æÖ÷ (ÖªÃû×÷¼Ò)
- Ó¦Öú: 490 (˶ʿ)
- ¹ó±ö: 0.008
- ½ð±Ò: 31016.3
- É¢½ð: 802
- ºì»¨: 122
- ɳ·¢: 1
- Ìû×Ó: 5600
- ÔÚÏß: 856.5Сʱ
- ³æºÅ: 3522474
- ×¢²á: 2014-11-06
- ÐÔ±ð: GG
- רҵ: »úе¶¯Á¦Ñ§
- ¹ÜϽ: ¼ÆËãÄ£Äâ
|
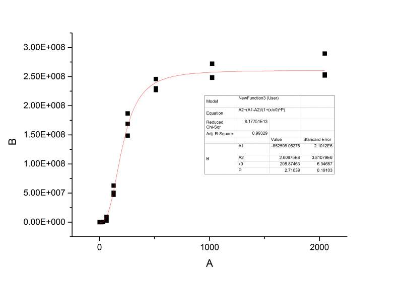
Õâ¸ö¾ÍÊDzÎÊýÄâºÏ£¬¿´¸öÀý×Ó¾ÍÖªµÀÁË£¬¶øÇÒoriginÀïÃæÄâºÏµÄʱºòÒ²ÊÇÓÐÌáʾµÄ¡£ ·¢×ÔСľ³æAndroid¿Í»§¶Ë |

9Â¥2019-08-23 18:49:12














»Ø¸´´ËÂ¥