| 查看: 728 | 回复: 5 | ||
[求助]
多项式问题 已有1人参与
|
|
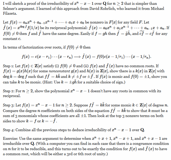
求证:x?-x-1在Q[x]上不可约。 嗯…用普通的方法似乎做不出来。 发自小木虫Android客户端 |
» 猜你喜欢
本科南方医科大学 一志愿985 药学学硕284分 求调剂
已经有5人回复
295分求调剂
已经有12人回复
调剂求收留
已经有25人回复
272分材料子求调剂
已经有49人回复
211本科材料化工求调剂
已经有16人回复
279学硕食品专业求调剂院校
已经有12人回复
一志愿双非085400电子信息344 求调剂,对材料和化学方向也感兴趣
已经有11人回复
279求调剂
已经有8人回复
277求调剂
已经有21人回复
290求调剂
已经有15人回复
getengqing
木虫 (正式写手)
- 数学EPI: 1
- 应助: 104 (高中生)
- 金币: 3759.8
- 散金: 30
- 红花: 5
- 帖子: 592
- 在线: 110.5小时
- 虫号: 2986702
- 注册: 2014-02-23
- 性别: GG
- 专业: 自然语言理解与机器翻译

2楼2015-12-29 08:54:43
3楼2015-12-29 09:56:37
4楼2015-12-29 10:52:24
hank612
至尊木虫 (著名写手)
- 数学EPI: 14
- 应助: 225 (大学生)
- 金币: 14270.6
- 散金: 1055
- 红花: 95
- 帖子: 1526
- 在线: 1375.8小时
- 虫号: 2530333
- 注册: 2013-07-03
- 性别: GG
- 专业: 理论和计算化学

5楼2015-12-29 13:09:50
6楼2015-12-29 13:40:30













回复此楼