±±¾©Ê¯ÓÍ»¯¹¤Ñ§Ôº2026ÄêÑо¿ÉúÕÐÉú½ÓÊÕµ÷¼Á¹«¸æ
²é¿´: 114  |  »Ø¸´: 0

759986494

½ð³æ (ÖøÃûдÊÖ)

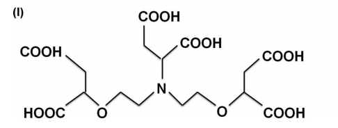
[ÇóÖú] Çó½â ÎïÖÊ

ÇëÎÊ£¬ÈçͼµÄÎïÖÊÊÇʲô лл

Çó½â  ÎïÖÊ
111.png
»Ø¸´´ËÂ¥
ÒÑÔÄ   »Ø¸´´ËÂ¥   ¹Ø×¢TA ¸øTA·¢ÏûÏ¢ ËÍTAºì»¨ TAµÄ»ØÌû
Ïà¹Ø°æ¿éÌø×ª ÎÒÒª¶©ÔÄÂ¥Ö÷ 759986494 µÄÖ÷Ìâ¸üÐÂ
×î¾ßÈËÆøÈÈÌûÍÆ¼ö [²é¿´È«²¿] ×÷Õß »Ø/¿´ ×îºó·¢±í
[¿¼ÑÐ] 285Çóµ÷¼Á +4 ¶ñ·¨´ó¶þµÄÆøÎ¶ß 2026-04-05 5/250 2026-04-05 20:32 by 286640313
[¿¼ÑÐ] 315Çóµ÷¼Á +5 £¦123456789 2026-04-05 5/250 2026-04-05 19:55 by nepu_uu
[¿¼ÑÐ] һ־Ըͬ¼Ã´óѧ323·Ö£¨080500£©Çóµ÷¼Á +8 yikeniu 2026-04-01 8/400 2026-04-05 18:15 by cql1109
[¿¼ÑÐ] 298Çóµ÷¼Á +3 manman511 2026-04-05 3/150 2026-04-05 18:09 by kk112233
[¿¼ÑÐ] 270·ÖÇóµ÷¼Á +4 maxjxbsk 2026-04-01 4/200 2026-04-05 17:04 by yulian1987
[¿¼ÑÐ] 085602µ÷¼Á ³õÊÔ×Ü·Ö335 +12 19123253302 2026-04-04 12/600 2026-04-05 08:08 by 544594351
[¿¼ÑÐ] 26¿¼Ñе÷¼Á0710 0860 +9 ²¹²¹²»²¹ 2026-04-03 14/700 2026-04-04 23:32 by ¹û¶³´óÍõ
[¿¼ÑÐ] 325Çóµ÷¼Á +4 ´º·ç²»½èÒâ 2026-04-04 4/200 2026-04-04 22:08 by à£à£à£0119
[¿¼ÑÐ] 0856µ÷¼Á +8 ÇúÌýóÞ 2026-03-30 8/400 2026-04-04 08:46 by tianyyysss
[¿¼ÑÐ] 282Çóµ÷¼Á +20 ycy1201 2026-04-01 22/1100 2026-04-04 00:42 by userper
[¿¼ÑÐ] ±§Ç¸ +5 ÌïºéÓÐ 2026-03-30 5/250 2026-04-03 10:24 by linyelide
[¿¼ÑÐ] 279Çóµ÷¼Á +6 qazplm0852 2026-04-02 6/300 2026-04-03 10:03 by À¶ÔÆË¼Óê
[¿¼ÑÐ] Çóµ÷¼Á£¬Ò»Ö¾Ô¸ÄϾ©Ê¦·¶´óѧ¼ÆËã»úר˶£¬³õÊÔ373£¬Áù¼¶Í¨¹ý£¬ +3 ¼ÆËã»ú×·ÃÎÈË 2026-04-01 3/150 2026-04-02 07:57 by fxue1114
[¿¼ÑÐ] 302Çóµ÷¼ÁÒ»Ö¾Ô¸±±º½070300£¬±¾¿ÆÖ£´ó»¯Ñ§ +8 Ê¥ÈÕ¶úÂüÌõ 2026-04-01 11/550 2026-04-02 07:40 by chemdavid
[¿¼ÑÐ] Çóµ÷¼Á0703 +5 ÖܼÎÒ¢ 2026-03-31 8/400 2026-04-01 20:32 by ltltkkk
[¿¼ÑÐ] 085600 Ò»Ö¾Ô¸9 ×Ü·Ö351 Çóµ÷¼ÁѧУ +7 czhcz 2026-03-31 9/450 2026-04-01 19:24 by Î޼ʵIJÝÔ­
[¿¼ÑÐ] Çóµ÷¼Á£¬Ò»Ö¾Ô¸±±ÁÖʳƷÓëÓªÑø095500£¬301·Ö£¬ÒѹýÁù¼¶£¬ÓпÆÑо­Àú +4 ¿ìÀÖ´¢Ðî¹Þ 2026-03-31 4/200 2026-04-01 09:26 by JourneyLucky
[¿¼ÑÐ] 080500-315·Ö¸´ÊÔµ÷¼Á +9 Éϰ¶3821 2026-03-31 9/450 2026-03-31 17:29 by ÌÆãå¶ù
[¿¼ÑÐ] ÉúÎÑÐ337·ÖÇóµ÷¼Á +4 cgxin 2026-03-30 6/300 2026-03-31 14:18 by ¼Çʱ¾2026
[¿¼ÑÐ] 269Çóµ÷¼Á +4 ÎÒÏë¶ÁÑÐ11 2026-03-31 4/200 2026-03-31 10:04 by cal0306
ÐÅÏ¢Ìáʾ
ÇëÌî´¦ÀíÒâ¼û