| 查看: 1090 | 回复: 5 | |
[求助]
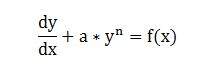
如图,一阶非线性微分方程求解,望大家帮助 已有1人参与
|
|
|
|
|
Edstrayer版主 (著名写手)
方寸斗室小天地正气迷漫大世界
|
|
![]() |
|
|
2楼2015-12-28 17:14:21
|
|
|
3楼2015-12-28 18:28:24
|
|
tianyanling新虫 (正式写手)
|
|
![]() |
|
|
4楼2015-12-28 23:09:02
|
|
tianyanling新虫 (正式写手)
|
|
![]() |
|
|
5楼2015-12-28 23:09:49
|
|
peterflyer
|
|
|
6楼2015-12-29 14:26:35
|
|













回复此楼

