| ²é¿´: 670 | »Ø¸´: 2 | |
chufengjгæ (ÕýʽдÊÖ)
|
[ÇóÖú]
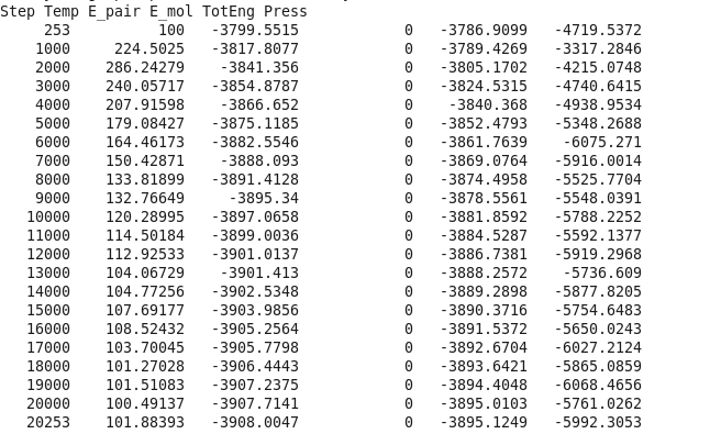
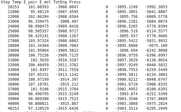
ÈçºÎÔÚ³ÚÔ¥¹ý³ÌͬʱÊä³öÈÈÁ¦Ñ§ÐźÍÔ×ÓλÖà ÒÑÓÐ1È˲ÎÓë
|
|
|
|
YYSYYFÌú¸Ëľ³æ (ÖøÃûдÊÖ)
|
|
![]() |
|
|
2Â¥2015-12-28 10:37:54
|
|
chufengjгæ (ÕýʽдÊÖ)
|
|
|
3Â¥2015-12-28 13:14:18
|
|














»Ø¸´´ËÂ¥
