| ²é¿´: 438 | »Ø¸´: 1 | |
charlotte_qiгæ (³õÈëÎÄ̳)
|
[ÇóÖú]
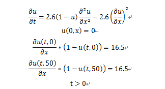
Çó·ÇÏßÐÔÆ«Î¢·Ö·½³ÌÊýÖµ½â£¬ÎªÉ¶½â²»ÁË£¿
|
|
|
|
Ò¦Äàöúľ³æ (СÓÐÃûÆø)
|
|
![]() |
|
|
2Â¥2016-08-20 10:08:10
|
|













»Ø¸´´ËÂ¥

100