| 查看: 853 | 回复: 0 | ||
[求助]
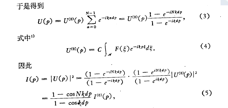
请教亚波长结构光栅狭缝中单缝光强的详细公式
|
|
大家好,最近在研究亚波长结构光栅衍射情况时,发现波恩的《光学原理》在第八章明确提到:如果刻线的宽度非常小,只有一个波长左右,则根据基尔霍夫近似推导出的公式4不再能期望成立,在这种情况下,必须进行更加细致的分析才能确定详细的强度分布。 请教一下这个详细的分析是什么?请各位帮忙给出相应的公式或者指导我得出类似于公式4的公式。 哈哈.png |
» 猜你喜欢
寻求一种能扛住强氧化性腐蚀性的容器密封件
已经有7人回复
到新单位后,换了新的研究方向,没有团队,持续积累2区以上论文,能申请到面上吗
已经有8人回复
申请2026年博士
已经有6人回复
请问哪里可以有青B申请的本子可以借鉴一下。
已经有5人回复
天津工业大学郑柳春团队欢迎化学化工、高分子化学或有机合成方向的博士生和硕士生加入
已经有5人回复
2025冷门绝学什么时候出结果
已经有7人回复
请问有评职称,把科研教学业绩算分排序的高校吗
已经有6人回复
Bioresource Technology期刊,第一次返修的时候被退回好几次了
已经有7人回复
请问下大家为什么这个铃木偶联几乎不反应呢
已经有5人回复
康复大学泰山学者周祺惠团队招收博士研究生
已经有6人回复













回复此楼