| 查看: 584 | 回复: 4 | |||
jnyofch金虫 (小有名气)
|
[求助]
数学题证明 已有2人参与
|
|
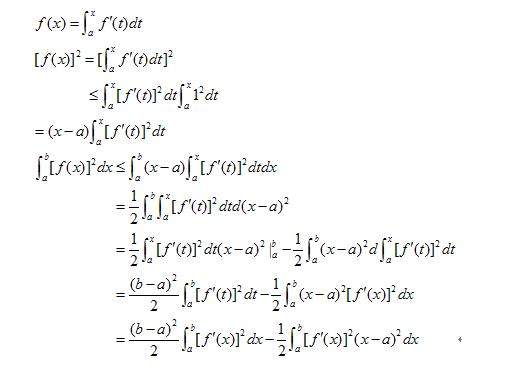
第十二题,有大神么,急求!!! 发自小木虫Android客户端 |
» 猜你喜欢
297工科调剂?
已经有15人回复
0854调剂
已经有15人回复
085404 22408 309分求调剂
已经有9人回复
药学305求调剂
已经有7人回复
273求调剂
已经有7人回复
294求调剂
已经有3人回复
290调剂生物0860
已经有42人回复
22408 312求调剂
已经有18人回复
调剂求收留
已经有35人回复
291分调剂
已经有10人回复
wurongjun
专家顾问 (职业作家)
-

专家经验: +831 - 数学EPI: 9
- 应助: 791 (博后)
- 贵宾: 0.308
- 金币: 24609
- 散金: 310
- 红花: 75
- 帖子: 3004
- 在线: 881.4小时
- 虫号: 1368482
- 注册: 2011-08-14
- 性别: GG
- 专业: 计算数学与科学工程计算
- 管辖: 数学

2楼2015-12-23 22:02:28
3楼2015-12-24 09:58:06
4楼2015-12-24 10:00:21
5楼2015-12-24 10:05:47














回复此楼
5