24小时热门版块排行榜    

查看: 639  |  回复: 0

meichen123

新虫 (初入文坛)

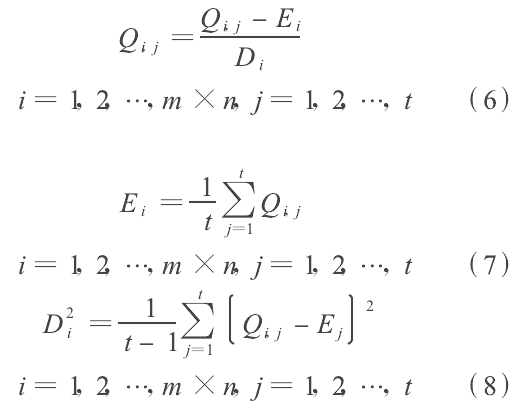
[求助] 这些公式在MATLAB算法中如何用循环结构表达啊

小硕,MATLAB数学功底比较差
这些公式在MATLAB算法中如何用循环结构表达啊
求助该如何编啊?
t=100
i=1:81920
j=1:t

谢谢各位大牛,感激不尽
回复此楼

» 猜你喜欢

已阅   回复此楼   关注TA 给TA发消息 送TA红花 TA的回帖
相关版块跳转 我要订阅楼主 meichen123 的主题更新
最具人气热帖推荐 [查看全部] 作者 回/看 最后发表
[考研] 085700资源与环境308求调剂 +11 墨墨漠 2026-03-18 12/600 2026-03-20 19:43 by 丁丁*
[考研] 材料与化工专硕调剂 +7 heming3743 2026-03-16 7/350 2026-03-20 19:31 by zhukairuo
[考研] 299求调剂 +3 shxchem 2026-03-20 4/200 2026-03-20 19:23 by zhukairuo
[考研] 环境工程调剂 +9 大可digkids 2026-03-16 9/450 2026-03-20 17:38 by 醉在风里
[考研] 085600材料与化工 +6 安全上岸! 2026-03-16 6/300 2026-03-20 15:07 by lbsjt
[考博] 招收博士1-2人 +3 QGZDSYS 2026-03-18 3/150 2026-03-20 11:58 by 呱呱呱呱叫
[考研] 一志愿武汉理工材料工程专硕调剂 +7 Doleres 2026-03-19 7/350 2026-03-20 10:39 by EBSD
[考研] 085410人工智能专硕317求调剂(0854都可以) +4 xbxudjdn 2026-03-18 4/200 2026-03-20 09:07 by 不168
[考研] 081700化工学硕调剂 +3 【1】 2026-03-16 3/150 2026-03-19 23:40 by edmund7
[考研] 320求调剂0856 +3 不想起名字112 2026-03-19 3/150 2026-03-19 22:53 by 学员8dgXkO
[考研] 梁成伟老师课题组欢迎你的加入 +9 一鸭鸭哟 2026-03-14 11/550 2026-03-19 17:22 by !本暗一次!
[考研] 材料与化工求调剂 +7 为学666 2026-03-16 7/350 2026-03-19 14:48 by 尽舜尧1
[考研] 材料考研调剂 +3 xwt。 2026-03-19 3/150 2026-03-19 11:22 by w沐阳w
[考研] 0817调剂 +3 没有答案_ 2026-03-14 3/150 2026-03-19 09:51 by Xu de nuo
[考研] 070300化学319求调剂 +6 锦鲤0909 2026-03-17 6/300 2026-03-18 13:22 by Iveryant
[考博] 26申博 +4 八6八68 2026-03-16 4/200 2026-03-17 13:00 by 轻松不少随
[考研] 0856专硕279求调剂 +5 加油加油!? 2026-03-15 5/250 2026-03-15 11:58 by 2020015
[考研] 070305求调剂 +3 mlpqaz03 2026-03-14 4/200 2026-03-15 11:04 by peike
[考研] 一志愿哈工大材料324分求调剂 +5 闫旭东 2026-03-14 5/250 2026-03-14 14:53 by 木瓜膏
[考研] 招收0805(材料)调剂 +3 18595523086 2026-03-13 3/150 2026-03-14 00:33 by 123%、
信息提示
请填处理意见