| 查看: 541 | 回复: 3 | ||
[求助]
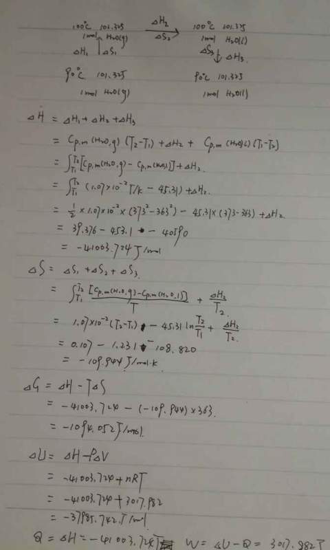
求解第5题详细步骤 已有1人参与
|
||
|
|
||
Simonkingdom金虫 (小有名气)
|
||
|
2楼2015-12-23 10:09:00
|
|
|
|
3楼2015-12-24 10:48:28
|
|
|
【答案】应助回帖
★ ★ ★ ★ ★
感谢参与,应助指数 +1 xin_d: 金币+5, 需要具体计算过程 2015-12-24 12:37:21
|
||
|
4楼2015-12-24 11:28:09
|
|














回复此楼