| 查看: 1288 | 回复: 1 | ||
[求助]
一个方程的两边用一条波浪线连起来,这是啥意思?小白恳请各位大神的解答!
|
|
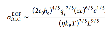
形如图片中的方程,我第一次遇见这种形式,等号两边用一条波浪线相连。 这到底是几个意思?我在处理的过程中是不是可以按照普通的等式形式求解? 能不能把意思说得明白一些?谢谢各位大神了! 6G]@(2BU21)Q_2XFXZW7HU2.png |
» 猜你喜欢
投稿chemical physical letters不送审?
已经有2人回复
南开大学物理学院张书辉副教授招收凝聚态物理理论方向博士生、硕士生
已经有22人回复
物理学I论文润色/翻译怎么收费?
已经有78人回复
杂志要求提供official language-editing certificate
已经有4人回复
深圳大学2026年秋博士招生-物理学-活性胶体方向-高永祥课题组
已经有16人回复
论物质与能量的统一模型及物理现象解释
已经有0人回复
基于基元I统一理论的数学相关应用推导
已经有0人回复
基元I统一理论:宇宙本质、层级演化与修炼文明的本源规律
已经有1人回复
基元I理论下三大核心空间现象精准推导与细节解析
已经有0人回复
基于基元 I 统一理论的反重力理论推导
已经有0人回复
基于基元I统一理论的量子力学本源推导
已经有0人回复
2楼2016-01-11 21:17:24













回复此楼