| ²é¿´: 356 | »Ø¸´: 2 | ||
dodonaomikгæ (СÓÐÃûÆø)
|
[½»Á÷]
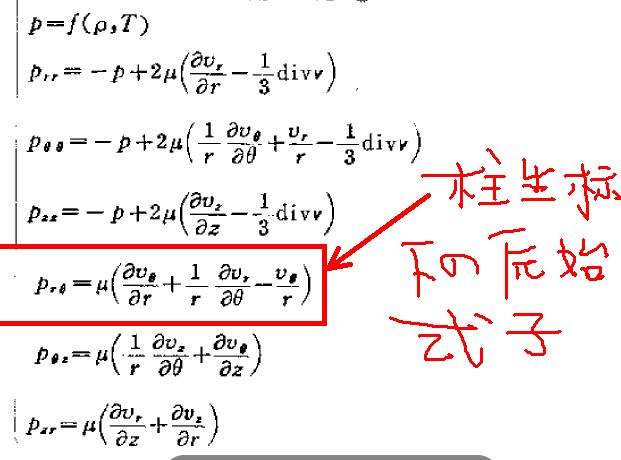
Çóµ¼¹ý³ÌÖУ¬ÎÒÊDz»ÊÇÔÚÄĸöºÜϸСºÜϸСµÄ»·½Ú£¬³öÁË²î³Ø£¿
|

dodonaomik
гæ (СÓÐÃûÆø)
- Ó¦Öú: 6 (Ó×¶ùÔ°)
- ½ð±Ò: 45.3
- Ìû×Ó: 91
- ÔÚÏß: 27.9Сʱ
- ³æºÅ: 4288710
- ×¢²á: 2015-12-15
- ÐÔ±ð: GG
- רҵ: Á¦Ñ§ÖеĻù±¾ÎÊÌâºÍ·½·¨

2Â¥2015-12-21 13:07:57
dodonaomik
гæ (СÓÐÃûÆø)
- Ó¦Öú: 6 (Ó×¶ùÔ°)
- ½ð±Ò: 45.3
- Ìû×Ó: 91
- ÔÚÏß: 27.9Сʱ
- ³æºÅ: 4288710
- ×¢²á: 2015-12-15
- ÐÔ±ð: GG
- רҵ: Á¦Ñ§ÖеĻù±¾ÎÊÌâºÍ·½·¨

3Â¥2015-12-21 13:10:56














»Ø¸´´ËÂ¥