| 查看: 1890 | 回复: 6 | |
Kylin2008银虫 (小有名气)
|
[求助]
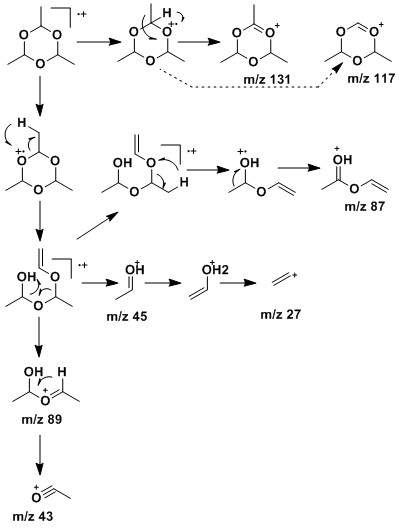
三聚乙醛的EI裂解机理 已有1人参与
|
|
|
|
wy19871124新虫 (职业作家)
质谱首席顾问
|
|
|
2楼2015-12-24 15:43:07
|
|
Kylin2008银虫 (小有名气)
|
|
|
3楼2015-12-24 16:05:49
|
|
wy19871124新虫 (职业作家)
质谱首席顾问
|
|
|
4楼2015-12-24 16:11:05
|
|
Kylin2008银虫 (小有名气)
|
|
|
5楼2015-12-24 16:43:14
|
|
wy19871124新虫 (职业作家)
质谱首席顾问
|
|
|
6楼2015-12-24 16:47:11
|
|
Kylin2008银虫 (小有名气)
|
|
|
7楼2015-12-24 17:11:20
|
|













回复此楼