| 查看: 955 | 回复: 1 | ||
[求助]
Dmol3如何查看指定原子的磁矩信息?
|
|
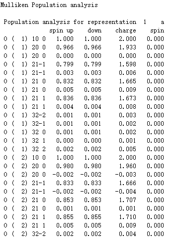
在载体表面吸附O2,结构优化已经做完。想做一步静态计算,计算O2上面的磁矩,输入文件见截图。 输出文件的四种spin各代表什么含义,哪个才是O2上面的磁矩?(O2的序号为O97和O98) 1.png 2.png 3.png 4.png 5.png 11.png 12.png 13.png 14.png |
» 猜你喜欢
085601材料工程专硕求调剂
已经有3人回复
293求调剂
已经有10人回复
有没有道铁/土木的想调剂南林,给自己招师弟中~
已经有6人回复
085600材料与化工
已经有3人回复
材料与化工专硕调剂
已经有4人回复
085601专硕,总分342求调剂,地区不限
已经有3人回复
0854可跨调剂,一作一项核心论文五项专利,省、国级证书40+数一英一287
已经有3人回复
08工科 320总分 求调剂
已经有4人回复
268求调剂
已经有8人回复
26申博
已经有4人回复
YorzZhang
金虫 (小有名气)
- 应助: 3 (幼儿园)
- 金币: 714
- 散金: 502
- 帖子: 229
- 在线: 92小时
- 虫号: 3444571
- 注册: 2014-09-27
- 性别: GG
- 专业: 凝聚态物性 II :电子结构
2楼2017-02-22 10:41:18













回复此楼
20