±±¾©Ê¯ÓÍ»¯¹¤Ñ§Ôº2026ÄêÑо¿ÉúÕÐÉú½ÓÊÕµ÷¼Á¹«¸æ
²é¿´: 731  |  »Ø¸´: 3

Àî¹ãΰ

ľ³æ (СÓÐÃûÆø)

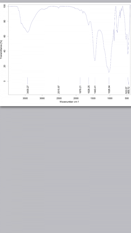
[ÇóÖú] ÇóÖú´óÉñ£¬¿´¿´ÎÒÕâÊÇʲôÎïÖʵĺìÍâÎüÊÕ·å ÒÑÓÐ1È˲ÎÓë

ÈçÌ⣬¸ÃÎïÖÊ¿ÉÄÜÊÇÎÞ»ú»ìºÏÎÄÜ´Ó·å¿´³öÓÐÄÄЩ¼üÂð£¿

ÇóÖú´óÉñ£¬¿´¿´ÎÒÕâÊÇʲôÎïÖʵĺìÍâÎüÊÕ·å


·¢×ÔСľ³æIOS¿Í»§¶Ë
»Ø¸´´ËÂ¥

» ²ÂÄãϲ»¶

» ±¾Ö÷ÌâÏà¹Ø¼ÛÖµÌùÍÆ¼ö£¬¶ÔÄúͬÑùÓаïÖú:

ÒÑÔÄ   »Ø¸´´ËÂ¥   ¹Ø×¢TA ¸øTA·¢ÏûÏ¢ ËÍTAºì»¨ TAµÄ»ØÌû

±ùµã½µÎÂ

°æÖ÷ (ÎÄ̳¾«Ó¢)

ÓÅÐã°æÖ÷ÓÅÐã°æÖ÷ÓÅÐã°æÖ÷ÓÅÐã°æÖ÷ÓÅÐã°æÖ÷ÓÅÐã°æÖ÷ÓÅÐã°æÖ÷ÓÅÐã°æÖ÷ÓÅÐã°æÖ÷

¡¾´ð°¸¡¿Ó¦Öú»ØÌû

¡ï ¡ï ¡ï ¡ï ¡ï ¡ï ¡ï ¡ï ¡ï ¡ï
¸Ðл²ÎÓ룬ӦÖúÖ¸Êý +1
Àî¹ãΰ: ½ð±Ò+10, ¡ï¡ï¡ïºÜÓаïÖú 2015-12-19 07:26:21
·ÖÎöºìÍâ½á¹¹×îºÃÓÐÎïÖÊÀ´Ô´£¬ÕâÑùµÄÃèÊöºÜ²»ÀûÓÚ·ÖÎö¡£
3000ÒÔÉϵĿíÎüÊպܿÉÄÜÊÇôÇ»ùÎüÊÕ£¬1628´¦¿ÉÄÜÓÐôÊ»ùÎüÊÕ£¬²»Ã÷ÏÔ
ÆäËüºÜÄÑÅжϡ£
ÉúÓÚÓÇ»¼£¬ËÀÓÚ°²ÀÖ¡£
2Â¥2015-12-18 20:01:23
ÒÑÔÄ   »Ø¸´´ËÂ¥   ¹Ø×¢TA ¸øTA·¢ÏûÏ¢ ËÍTAºì»¨ TAµÄ»ØÌû

Àî¹ãΰ

ľ³æ (СÓÐÃûÆø)

ÒýÓûØÌû:
2Â¥: Originally posted by ±ùµã½µÎ at 2015-12-18 20:01:23
·ÖÎöºìÍâ½á¹¹×îºÃÓÐÎïÖÊÀ´Ô´£¬ÕâÑùµÄÃèÊöºÜ²»ÀûÓÚ·ÖÎö¡£
3000ÒÔÉϵĿíÎüÊպܿÉÄÜÊÇôÇ»ùÎüÊÕ£¬1628´¦¿ÉÄÜÓÐôÊ»ùÎüÊÕ£¬²»Ã÷ÏÔ
ÆäËüºÜÄÑÅжϡ£

¸ÃÎïÖʲ»ÊÇÓлúÎӦ¸ÃÊÇ»ìºÏµÄÎÞ»úÎ×öÔªËØ·ÖÎöÏÔʾCHNµÄº¬Á¿ºÜµÍ¡£

·¢×ÔСľ³æIOS¿Í»§¶Ë
3Â¥2015-12-19 07:28:04
ÒÑÔÄ   »Ø¸´´ËÂ¥   ¹Ø×¢TA ¸øTA·¢ÏûÏ¢ ËÍTAºì»¨ TAµÄ»ØÌû

±ùµã½µÎÂ

°æÖ÷ (ÎÄ̳¾«Ó¢)

ÓÅÐã°æÖ÷ÓÅÐã°æÖ÷ÓÅÐã°æÖ÷ÓÅÐã°æÖ÷ÓÅÐã°æÖ÷ÓÅÐã°æÖ÷ÓÅÐã°æÖ÷ÓÅÐã°æÖ÷ÓÅÐã°æÖ÷

ÒýÓûØÌû:
3Â¥: Originally posted by Àî¹ãΰ at 2015-12-19 07:28:04
¸ÃÎïÖʲ»ÊÇÓлúÎӦ¸ÃÊÇ»ìºÏµÄÎÞ»úÎ×öÔªËØ·ÖÎöÏÔʾCHNµÄº¬Á¿ºÜµÍ¡£
...

ÖÁÉÙÓ¦¸ÃÌṩÎïÖÊÀ´Ô´ºÍ¿ÉÄܵÄ×é³ÉÐÅÏ¢£¬ÔªËØ·ÖÎöÖÁÉÙÒ²ÒªÌṩ¸÷ÔªËØµÄÏà¶Ôº¬Á¿¡£·ñÔòºÜÄÑ·ÖÎö¡£
ÉúÓÚÓÇ»¼£¬ËÀÓÚ°²ÀÖ¡£
4Â¥2015-12-19 09:01:36
ÒÑÔÄ   »Ø¸´´ËÂ¥   ¹Ø×¢TA ¸øTA·¢ÏûÏ¢ ËÍTAºì»¨ TAµÄ»ØÌû
Ïà¹Ø°æ¿éÌø×ª ÎÒÒª¶©ÔÄÂ¥Ö÷ Àî¹ãΰ µÄÖ÷Ìâ¸üÐÂ
×î¾ßÈËÆøÈÈÌûÍÆ¼ö [²é¿´È«²¿] ×÷Õß »Ø/¿´ ×îºó·¢±í
[»ù½ðÉêÇë] ÃæÉÏ5BÄÜÉÏ»áÂ𣿠+3 redcom 2026-03-29 3/150 2026-03-29 12:03 by god_tian
[¿¼ÑÐ] 086000ÉúÎïÓëÒ½Ò©µ÷¼Á +5 Feisty¡£ 2026-03-28 9/450 2026-03-29 12:02 by longlotian
[¿¼ÑÐ] 332Çóµ÷¼Á +8 ½¶½¶123 2026-03-28 8/400 2026-03-29 10:46 by ÖÜè÷µ¤
[¿¼ÑÐ] 352·Ö-085602-Ò»Ö¾Ô¸985 +5 º£Äɰٴ¨Ly 2026-03-29 5/250 2026-03-29 09:57 by Sjndkwm
[¿¼ÑÐ] ±¾¿ÆË«·Ç²ÄÁÏ£¬¿ç¿¼Ò»Ö¾Ô¸»ªµç085801µçÆø£¬283Çóµ÷¼Á£¬ÈκÎרҵ¶¼¿ÉÒÔ +6 ֥ʿѩbaoo 2026-03-28 8/400 2026-03-29 08:16 by ËÉ»¨¸×1201
[¿¼ÑÐ] 300Çóµ÷¼Á£¬²ÄÁÏ¿ÆÑ§Ó¢Ò»Êý¶þ +8 leaflight 2026-03-24 8/400 2026-03-29 01:31 by fmesaito
[¿¼ÑÐ] 289Çóµ÷¼Á +13 ÐÂʱ´ú²ÄÁÏ 2026-03-27 13/650 2026-03-29 01:16 by 544594351
[¿¼ÑÐ] Ò»Ö¾Ô¸¹þ¶û±õ¹¤Òµ´óѧ²ÄÁÏÓ뻯¹¤·½Ïò336·Ö +9 ³½ãå5211314 2026-03-26 9/450 2026-03-29 01:12 by ÎÒÊÇС¿µ
[¿¼ÑÐ] 316Çóµ÷¼Á +7 ½­´Ç666 2026-03-26 7/350 2026-03-28 21:28 by sanrepian
[¿¼ÑÐ] Ò»Ö¾Ô¸ÖÐÄÏ´óѧ»¯Ñ§0703×Ü·Ö337Çóµ÷¼Á +5 niko- 2026-03-27 5/250 2026-03-28 14:25 by ÌÆãå¶ù
[¿¼ÑÐ] 292Çóµ÷¼Á +14 ¶ì¶ì¶ì¶î¶î¶î¶î¶ 2026-03-25 15/750 2026-03-28 08:45 by WYUMater
[¿¼ÑÐ] 086502»¯Ñ§¹¤³Ì342Çóµ÷¼Á +6 °¢Ò̸´¹Å²»¹ý 2026-03-27 6/300 2026-03-28 07:06 by wangy0907
[¿¼ÑÐ] Çóµ÷¼Á +4 Áã°Ë# 2026-03-27 4/200 2026-03-27 18:07 by yu221
[¿¼ÑÐ] 287Çóµ÷¼Á +10 land xuxu 2026-03-26 10/500 2026-03-27 15:33 by ÅÁ¶ûÂíÀ­ÌØ
[¿¼ÑÐ] 351Çóµ÷¼Á +4 Âó¿Ë°¢ÀÚ 2026-03-24 4/200 2026-03-27 00:32 by wxiongid
[¿¼ÑÐ] Ò»Ö¾Ô¸ºÓ¹¤´ó 081700 276Çóµ÷¼Á +4 µØÇòÈÆ×ÅÌ«Ñôת 2026-03-23 4/200 2026-03-26 14:27 by zzll406
[¿¼ÑÐ] Ò»Ö¾Ô¸Ìì½ò´óѧ339²ÄÁÏÓ뻯¹¤Çóµ÷¼Á +3 ½­ÍùÂôÓã 2026-03-26 3/150 2026-03-26 09:42 by ÍõСǷi
[¿¼ÑÐ] Ò»Ö¾Ô¸¹þ¹¤´ó£¬085400£¬320£¬Çóµ÷¼Á +4 gdlf9999 2026-03-24 4/200 2026-03-25 23:01 by boxking200
[¿¼ÑÐ] Ò»Ö¾Ô¸ÄϺ½ 335·Ö | 0856²ÄÁÏ»¯¹¤ | GPA 4.07 | ÓпÆÑо­Àú +6 cccchenso 2026-03-23 6/300 2026-03-25 22:25 by 544594351
[¿¼ÑÐ] ÉϺ£µçÁ¦´óѧ²ÄÁÏ·À»¤ÓëвÄÁÏÖØµãʵÑéÊÒÕÐÊÕµ÷¼ÁÑо¿Éú£¨²ÄÁÏ¡¢»¯Ñ§¡¢µç»¯Ñ§£¬»·¾³£© +4 ÎÒ°®Ñ§µç³Ø 2026-03-23 4/200 2026-03-25 00:59 by 1027_324
ÐÅÏ¢Ìáʾ
ÇëÌî´¦ÀíÒâ¼û