| 查看: 12149 | 回复: 1 | ||
[求助]
二项分布的分布函数的推导已有1人参与
|
|
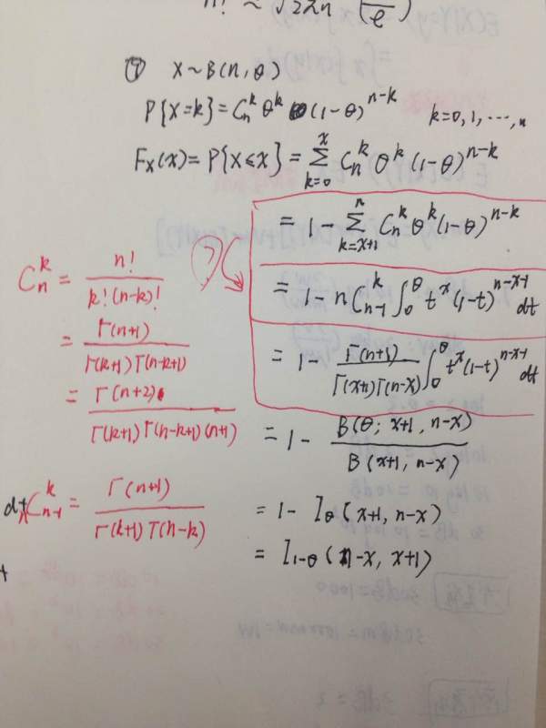
我看论文时候看到用有人用正则不完全的贝塔函数来表示二项分布的分布函数。我也从一片文章中找到了推导,见图片,但是我不太理解由箭头跳变的那一步是怎么来的。也就是从和式怎么变成积分式的。不要用做差法来证明,也不要用由二项分布构造的beta分布来说明。 cal.jpg |
» 猜你喜欢
Bioresource Technology期刊,第一次返修的时候被退回好几次了
已经有6人回复
2025冷门绝学什么时候出结果
已经有4人回复
真诚求助:手里的省社科项目结项要求主持人一篇中文核心,有什么渠道能发核心吗
已经有8人回复
寻求一种能扛住强氧化性腐蚀性的容器密封件
已经有5人回复
论文投稿,期刊推荐
已经有6人回复
请问哪里可以有青B申请的本子可以借鉴一下。
已经有4人回复
孩子确诊有中度注意力缺陷
已经有14人回复
请问下大家为什么这个铃木偶联几乎不反应呢
已经有5人回复
请问有评职称,把科研教学业绩算分排序的高校吗
已经有5人回复
天津工业大学郑柳春团队欢迎化学化工、高分子化学或有机合成方向的博士生和硕士生加入
已经有4人回复
kanger0
木虫 (小有名气)
- 应助: 39 (小学生)
- 金币: 2671.7
- 红花: 2
- 帖子: 131
- 在线: 107.2小时
- 虫号: 954874
- 注册: 2010-02-11
- 专业: 概率论与随机分析
2楼2015-12-17 08:56:31













回复此楼