| 查看: 1002 | 回复: 2 | ||
[求助]
【高分悬赏】BET氮气吸脱附曲线下降是什么原因 已有1人参与
|
|
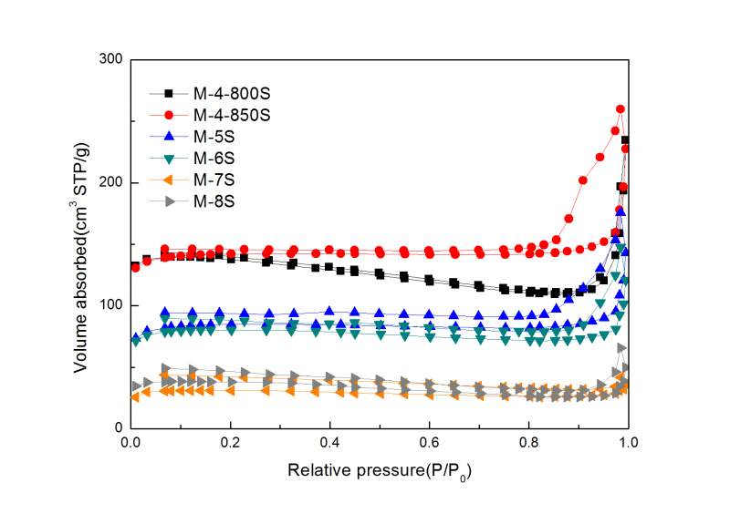
如图,这是我做的多孔炭材料,在测试比表面积的时候氮气吸脱附曲线出现了下降,初始怀疑为其中有密闭的气孔,但二次重新测试之后仍存在下降的现象,排除机器问题,其中前三个样的BET Surface Area数据都大于三百,求大神解答为什么会出现这样的现象。。。 Graph2.jpg |
» 猜你喜欢
上海海事大学“安全科学与工程”一级学科硕士学位授予点尚有部分缺额
已经有0人回复
【广州】仲恺农业工程学院城乡建设学院土木水利专业硕士招调剂,线上复试
已经有2人回复
建筑环境与结构工程论文润色/翻译怎么收费?
已经有260人回复
西京学院-结构工程-2026研究生调剂
已经有0人回复
上海海事大学“安全科学与工程”一级学科硕士学位授予点尚有部分缺额
已经有0人回复
西京学院-结构工程-2026研究生调剂
已经有0人回复
【广州】仲恺农业工程学院城乡建设学院土木水利专业硕士招大量调剂,线上复试
已经有0人回复
【广州】仲恺农业工程学院城乡建设学院土木水利专业硕士招大量调剂,线上复试
已经有0人回复
上海海事大学安全科学与工程学科有部分名额,欢迎调剂
已经有0人回复
土木考研调剂-08开头和计算机专业+V:18173116706
已经有0人回复
【广州】仲恺农业工程学院城乡建设学院土木水利专业硕士招大量调剂,线上复试
已经有0人回复
» 本主题相关商家推荐: (我也要在这里推广)
2楼2015-12-17 09:00:37
3楼2015-12-17 09:18:13














回复此楼