| ²é¿´: 1728 | »Ø¸´: 3 | |
qzxnjustľ³æ (СÓÐÃûÆø)
|
[ÇóÖú]
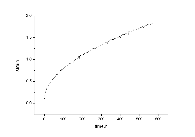
½ðÊô¸ßÎÂÈä±äÎÊÌâ¼°Êý¾Ý´¦Àí ÒÑÓÐ1È˲ÎÓë
|
|
|
|
|
2Â¥2016-03-17 10:58:59
|
|
°£µÂ¶ûгæ (³õÈëÎÄ̳)
|
|
|
3Â¥2021-05-07 14:49:32
|
|
|
4Â¥2021-07-04 21:28:38
|
|














»Ø¸´´ËÂ¥
