| 查看: 3867 | 回复: 12 | ||
[求助]
请教一下HMBC怎么计算碳氢之间的耦合常数 已有2人参与
|
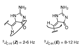
| 有文献在定双键ZE构型时,利用2D HMBC计算碳和氢之间的耦合常数,从而得到一个规律,请问下大家这个怎么计算? |
» 猜你喜欢
265求调剂
已经有20人回复
271分求调剂学校
已经有11人回复
320分人工智能调剂
已经有6人回复
求调剂,一志愿南京航空航天大学 ,080500材料科学与工程学硕
已经有8人回复
280求调剂
已经有19人回复
求材料调剂,一志愿郑州大学289分
已经有15人回复
26考研调剂0710 0860
已经有6人回复
282求调剂
已经有22人回复
283求调剂
已经有5人回复
265求调剂
已经有21人回复
2楼2015-12-14 21:18:18
3楼2015-12-15 10:25:45
4楼2015-12-15 15:29:01
5楼2015-12-15 15:31:59
6楼2015-12-15 15:43:14
bixuejian
至尊木虫 (文坛精英)
改变自己
- 应助: 52 (初中生)
- 金币: 18997.4
- 散金: 8805
- 红花: 41
- 沙发: 19
- 帖子: 10624
- 在线: 4414.9小时
- 虫号: 762744
- 注册: 2009-05-04
- 性别: GG
- 专业: 合成药物化学

7楼2015-12-15 19:34:57
8楼2015-12-15 21:49:30
9楼2015-12-15 22:07:19
10楼2015-12-16 09:30:38














回复此楼