24小时热门版块排行榜    

查看: 282  |  回复: 0

xuyanglei

金虫 (小有名气)

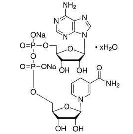
[求助] NADH上的磷酸根与Ca2+会发生化学反应吗?

NADH上的包含两个磷酸根 与Ca2+会发生化学反应吗?没有查到相关的文献呢?求大神指点~~~拜托了

NADH上的磷酸根与Ca2+会发生化学反应吗?
t016d4b56df797bb7d0.jpg
回复此楼

» 猜你喜欢

已阅   回复此楼   关注TA 给TA发消息 送TA红花 TA的回帖
相关版块跳转 我要订阅楼主 xuyanglei 的主题更新
最具人气热帖推荐 [查看全部] 作者 回/看 最后发表
[考研] 材料学硕318求调剂 +5 February_Feb 2026-03-01 7/350 2026-03-01 15:21 by jxstnuZYX
[考研] 281求调剂 +4 2026计算机_诚心 2026-03-01 4/200 2026-03-01 15:21 by chemisry
[考研] 304求调剂 +6 曼殊2266 2026-02-28 7/350 2026-03-01 15:14 by wjLi2017
[考研] 303求调剂 +4 今夏不夏 2026-03-01 4/200 2026-03-01 14:46 by 嘟嘟小浣熊
[考研] 一志愿中南大学理学化学 +3 15779376950 2026-03-01 4/200 2026-03-01 14:27 by 15779376950
[考研] 材料284求调剂,一志愿郑州大学英一数二专硕 +10 想上岸的土拨鼠 2026-02-28 10/500 2026-03-01 14:12 by yc258
[考研] 调剂 +3 简木ChuFront 2026-02-28 3/150 2026-03-01 11:46 by 王伟要上岸啊
[考研] 317一志愿华南理工电气工程求调剂 +6 Soliloquy_Q 2026-02-28 11/550 2026-03-01 11:14 by 歌liekkas
[考研] 高分子化学与物理调剂 +5 好好好1233 2026-02-28 9/450 2026-03-01 10:59 by fengyu211
[论文投稿] Optics letters投稿被拒求助 30+3 luckyry 2026-02-26 4/200 2026-03-01 09:06 by babero
[考研] 298求调剂 +5 axyz3 2026-02-28 5/250 2026-03-01 06:45 by 刘兵
[考研] 272求调剂 +4 田智友 2026-02-28 4/200 2026-03-01 06:43 by 刘兵
[考研] 285求调剂 +6 满头大汗的学生 2026-02-28 6/300 2026-03-01 06:29 by Trying]
[基金申请] 面上模板改不了页边距吧? +5 ieewxg 2026-02-25 6/300 2026-03-01 00:10 by addressing
[考研] 化工专硕348,一志愿985求调剂 +4 弗格个 2026-02-28 6/300 2026-02-28 22:00 by wang_dand
[考研] 292求调剂 +3 yhk_819 2026-02-28 3/150 2026-02-28 21:57 by gaoxiaoniuma
[考研] 295求调剂 +5 19171856320 2026-02-28 5/250 2026-02-28 21:39 by gaoxiaoniuma
[考研] 085600材料工程一志愿中科大总分312求调剂 +8 吃宵夜1 2026-02-28 10/500 2026-02-28 20:27 by L135790
[考研] 276求调剂 +3 路lyh123 2026-02-28 4/200 2026-02-28 19:45 by 路lyh123
[考研] 265分求调剂不调专业和学校有行学上就 +4 礼堂丁真258 2026-02-28 6/300 2026-02-28 16:18 by 求调剂zz
信息提示
请填处理意见