| ²é¿´: 6652 | »Ø¸´: 8 | ||
wqh619066½ð³æ (СÓÐÃûÆø)
|
[ÇóÖú]
Çë½Ì¹âµçÁ÷ÏìӦͼ ÒÑÓÐ1È˲ÎÓë
|
|
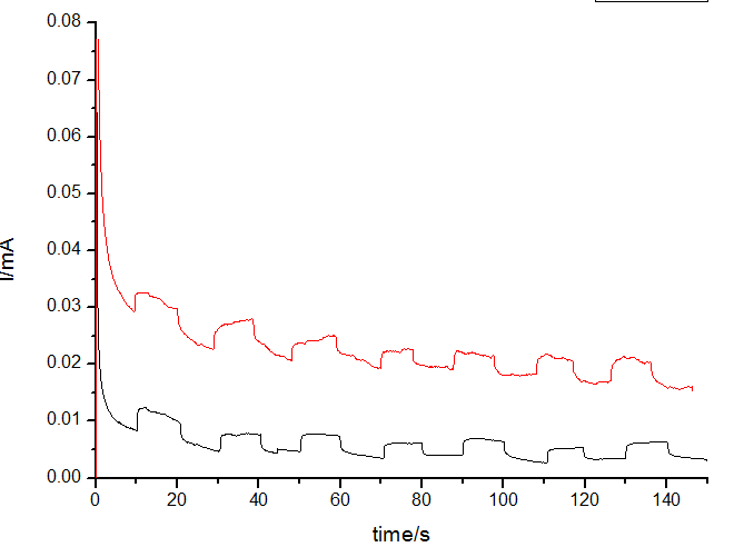
¼Óѹ×öÁ˹âµçÁ÷ÏìÓ¦Ó룬µ«ÊÇÔÚ×÷ͼʱ·¢ÏÖÓëÎÄÏײ»Ò»Ñù£¬ÇëÎʸ÷λ´óÉñ£¬¾¿¾¹ÄÄÀï×öÎÊÌâÁË£¿»òÕßÔÚ×÷ͼʱÓÐʲô¼¼ÇÉÂ𣿠ºÚɫΪBiOCl £¬ºìɫΪBiOCl¸´ºÏ̼Á¿×Óµã %43YL{BO%JLIL`S3]~Y[49P.png |
» ²ÂÄãϲ»¶
¼ÃÄÏ´óѧ ²ÄÁÏ¿ÆÑ§Ó빤³Ì Àî½ð¿¿ÎÌâ×é ÕÐÊÕµ÷¼ÁÉú2Ãû£¨2026¼¶£©
ÒѾÓÐ0È˻ظ´
Synthesis of NCo@CNT-NFT Hierarchical Carbon Dendrites.
ÒѾÓÐ0È˻ظ´
·ÖÎö»¯Ñ§ÂÛÎÄÈóÉ«/·ÒëÔõôÊÕ·Ñ?
ÒѾÓÐ207È˻ظ´
AgÄÉÃײÄÁÏ
ÒѾÓÐ0È˻ظ´
³¤´º¹¤³ÌѧԺÊÐÕþ¹¤³Ì·½ÏòÓв¿·Öµ÷¼ÁÃû¶î£¬»¶Ó´ó¼Òµ÷¼Áµ½ÎÒУ
ÒѾÓÐ0È˻ظ´
Õе÷¼Á
ÒѾÓÐ0È˻ظ´
26Äêµç³Ø·½Ïò²©Ê¿ÉêÇë
ÒѾÓÐ2È˻ظ´
Ô˶¯¿µ¸´Çóµ÷¼Á
ÒѾÓÐ0È˻ظ´
³¤´º¹¤³ÌѧԺÊÐÕþ¹¤³Ì·½ÏòÓв¿·Öµ÷¼ÁÃû¶î£¬»¶Ó´ó¼Òµ÷¼Áµ½ÎÒУ
ÒѾÓÐ0È˻ظ´
085500»úеBÇøÇóµ÷¼Á
ÒѾÓÐ19È˻ظ´
ÖÐÔ¹¤Ñ§ÔºÏÖÓвÄÁÏ¿ÆÑ§Ó빤³ÌºÍÄÉÃ׿ÆÑ§Ó빤³ÌѧÊõÐÍ¡¢²ÄÁϹ¤³ÌÑо¿Éúµ÷¼ÁÃû¶î
ÒѾÓÐ0È˻ظ´
» ±¾Ö÷ÌâÏà¹Ø¼ÛÖµÌùÍÆ¼ö£¬¶ÔÄúͬÑùÓаïÖú:
¹ØÓÚ¹âµçÁ÷²âÊÔÎÊÌ⣬ؽ´ý´ó¼ÒµÄ°ïæ
ÒѾÓÐ0È˻ظ´
̽²âÆ÷ÏìӦʱ¼ä²âÊÔ
ÒѾÓÐ2È˻ظ´
°ëµ¼Ìå¹âµç̽²âÆ÷ÏìӦʱ¼ä²âÊÔ
ÒѾÓÐ0È˻ظ´
¶¹ating
гæ (ÕýʽдÊÖ)
- Ó¦Öú: 35 (СѧÉú)
- ½ð±Ò: 24.9
- É¢½ð: 500
- ºì»¨: 5
- Ìû×Ó: 321
- ÔÚÏß: 206.4Сʱ
- ³æºÅ: 2434110
- ×¢²á: 2013-04-24
- ÐÔ±ð: GG
- רҵ: ÎÛȾ¿ØÖÆ»¯Ñ§

2Â¥2015-12-17 21:14:52
wqh619066
½ð³æ (СÓÐÃûÆø)
- Ó¦Öú: 0 (Ó×¶ùÔ°)
- ½ð±Ò: 835.5
- É¢½ð: 6
- ºì»¨: 1
- Ìû×Ó: 73
- ÔÚÏß: 26.7Сʱ
- ³æºÅ: 2979859
- ×¢²á: 2014-02-20
- רҵ: Óлú»¯¹¤
3Â¥2015-12-18 09:34:48
¶¹ating
гæ (ÕýʽдÊÖ)
- Ó¦Öú: 35 (СѧÉú)
- ½ð±Ò: 24.9
- É¢½ð: 500
- ºì»¨: 5
- Ìû×Ó: 321
- ÔÚÏß: 206.4Сʱ
- ³æºÅ: 2434110
- ×¢²á: 2013-04-24
- ÐÔ±ð: GG
- רҵ: ÎÛȾ¿ØÖÆ»¯Ñ§

4Â¥2015-12-18 10:25:26
wqh619066
½ð³æ (СÓÐÃûÆø)
- Ó¦Öú: 0 (Ó×¶ùÔ°)
- ½ð±Ò: 835.5
- É¢½ð: 6
- ºì»¨: 1
- Ìû×Ó: 73
- ÔÚÏß: 26.7Сʱ
- ³æºÅ: 2979859
- ×¢²á: 2014-02-20
- רҵ: Óлú»¯¹¤
5Â¥2015-12-18 13:16:47
¶¹ating
гæ (ÕýʽдÊÖ)
- Ó¦Öú: 35 (СѧÉú)
- ½ð±Ò: 24.9
- É¢½ð: 500
- ºì»¨: 5
- Ìû×Ó: 321
- ÔÚÏß: 206.4Сʱ
- ³æºÅ: 2434110
- ×¢²á: 2013-04-24
- ÐÔ±ð: GG
- רҵ: ÎÛȾ¿ØÖÆ»¯Ñ§
¡¾´ð°¸¡¿Ó¦Öú»ØÌû
¡ï ¡ï ¡ï ¡ï ¡ï ¡ï ¡ï ¡ï
wqh619066: ½ð±Ò+8, ¡ï¡ï¡ïºÜÓаïÖú 2015-12-24 09:32:47
wqh619066: ½ð±Ò+8, ¡ï¡ï¡ïºÜÓаïÖú 2015-12-24 09:32:47
|
ÓпÉÄÜÊÇÄãµÄBiOCl¸ºÔØÌ¼Á¿×ÓµãºÏ³ÉµÄ²»ÊǺܺðɣ¬Ôì³É¹âµçÁ÷²î±ð²»´ó£¬ÎÒ֮ǰ×öµÄÊǶþÑõ»¯îÑÄÉÃ׹ܣ¬¶¼ÊÇÕâô¸ãµÄ£¬¾ÍÊÇ¿´µÄ²îÖµ£¬»ùÏ߯½ÒƵ½Ò»Æð£¬È»ºó±È½Ï±ä»¯´óС£¬ÓÐʱºò¸ºÔزÄÁϵ½¶þÑõ»¯îÑÄÉÃ×¹ÜÉϸºÔصIJ»ºÃ£¬ºÜÈÝÒ׳öÏÖ¹âµçÁ÷Ч¹û²»ºÃ»òÕß±ä²îµÄÇé¿ö£¬ËùÒÔ£¬ÎÒ¸öÈ˸оõ£¬ÓпÉÄÜÊÇÄãºÏ³ÉµÄ²ÄÁϵÄÎÊÌ⣬ÓÐʱºò£¬ÀíÂÛÉÏÊÇÓ¦¸ÃÔöÇ¿£¬µ«ÊÇ×öµÄʱºò²»Ò»¶¨Ã¿´Î¶¼³öÏÖÔöÇ¿£¬ÐèÒªÄãºÏ³Éʱºò¶ÔÌõ¼þµÄ°ÑÎÕ£¬ÕæÕýʵÏÖÀíÂÛÖеÄÔöÇ¿ÔÀí£¬Ö®Ç°ÎÒÃÇ×é×ö¸ºÔØTiO2ÄÉÃ׹ܣ¬¸÷ÖÖ¿ÅÁ£¸ºÔØ£¬ÓÐʱºò¾ÍÄãÄÜ¿´µ½ÓпÅÁ££¬µ«ÊÇûÓÐÐγÉÒìÖʽڣ¬Ð§¹û¾ÍÊDz»ºÃ£¬¾ÍûÓÐÔöǿЧ¹û~ËùÒÔ£¬²ÄÁÏÔÙ¶àºÏ³ÉºÏ³É£¬¶ÔÌõ¼þºÃºÃ°ÑÎÕһϣ¬ÓÐɶÎÊÌâÄã¿ÉÒÔÔÙÎÊÎÒ£¬¿Û¿Û1157691139£¬ÎÒÏÖÔÚ²»×öÕâ¸ö£¬²»¹ýÎÒ¾¡Á¦°ïÄã½â¾ö~¿´ÄãÕâ¸öͼÖУ¬ÔöǿЧ¹ûÃ²ËÆ²»Ç¿ |

6Â¥2015-12-18 14:18:35
wqh619066
½ð³æ (СÓÐÃûÆø)
- Ó¦Öú: 0 (Ó×¶ùÔ°)
- ½ð±Ò: 835.5
- É¢½ð: 6
- ºì»¨: 1
- Ìû×Ó: 73
- ÔÚÏß: 26.7Сʱ
- ³æºÅ: 2979859
- ×¢²á: 2014-02-20
- רҵ: Óлú»¯¹¤
7Â¥2015-12-21 10:59:04
¾ùºâË®
½ð³æ (СÓÐÃûÆø)
²»°®Ëµ»°µÄÈË
- Ó¦Öú: 0 (Ó×¶ùÔ°)
- ½ð±Ò: 842.9
- É¢½ð: 27
- ºì»¨: 2
- Ìû×Ó: 133
- ÔÚÏß: 80Сʱ
- ³æºÅ: 953050
- ×¢²á: 2010-02-05
- ÐÔ±ð: GG
- רҵ: ½ðÊô·Ç¾§Ì¬¡¢×¼¾§ºÍÄÉÃ×¾§

8Â¥2017-03-25 23:01:11
´ÁÖÒ°º×
½ð³æ (СÓÐÃûÆø)
- Ó¦Öú: 0 (Ó×¶ùÔ°)
- ½ð±Ò: 1336.5
- Ìû×Ó: 57
- ÔÚÏß: 33.8Сʱ
- ³æºÅ: 4214468
- ×¢²á: 2015-11-12
- רҵ: ÓÐÉ«½ðÊôÒ±½ð
9Â¥2019-06-20 16:41:12













»Ø¸´´ËÂ¥
¾ùºâË®
5