Znn3bq.jpeg
±±¾©Ê¯ÓÍ»¯¹¤Ñ§Ôº2026ÄêÑо¿ÉúÕÐÉú½ÓÊÕµ÷¼Á¹«¸æ
²é¿´: 292  |  »Ø¸´: 0

°²ÅµÅµ

гæ (СÓÐÃûÆø)

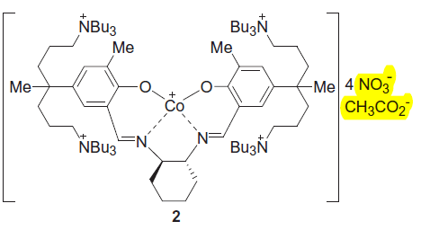
[ÇóÖú] Çó¸Ã´ß»¯¼ÁµÄCASºÅ£¬»òÕßÄÄÀïÄܹ»Âòµ½



Çó¸Ã´ß»¯¼ÁµÄCASºÅ£¬»òÕßÄÄÀïÄܹ»Âòµ½
_OGW_LTAOXW9Q@ZZCX)NO@4.png
»Ø¸´´ËÂ¥
ÒÑÔÄ   ¹Ø×¢TA ¸øTA·¢ÏûÏ¢ ËÍTAºì»¨ TAµÄ»ØÌû
Ïà¹Ø°æ¿éÌø×ª ÎÒÒª¶©ÔÄÂ¥Ö÷ °²ÅµÅµ µÄÖ÷Ìâ¸üÐÂ
×î¾ßÈËÆøÈÈÌûÍÆ¼ö [²é¿´È«²¿] ×÷Õß »Ø/¿´ ×îºó·¢±í
[¿¼ÑÐ] Çóµ÷¼Á +11 wwwwabcde 2026-04-07 11/550 2026-04-07 23:16 by JourneyLucky
[¿¼ÑÐ] ²ÄÁÏÓ뻯¹¤×¨Ë¶306·ÖÕÒºÏÊʵ÷¼Á +20 ²×º£ÇáÖÛe 2026-04-06 20/1000 2026-04-07 22:54 by À´¿´Á÷ÐÇÓê10
[¿¼ÑÐ] 316Çóµ÷¼Á +4 15318418673 2026-04-07 4/200 2026-04-07 22:12 by hemengdong
[¿¼ÑÐ] ũѧ£¬Çóµ÷¼Á£¬314·Ö +4 ·Ã¿Í¼Ç¼¿É°® 2026-04-04 4/200 2026-04-07 21:07 by µÈ°¶
[¿¼ÑÐ] 085602»¯Ñ§¹¤³Ì268·Ö¶×µ÷¼Á +13 ÔÂÕÕ»¨ÁÖ¡£ 2026-04-01 13/650 2026-04-07 17:23 by À¶ÔÆË¼Óê
[¿¼ÑÐ] »·¾³×¨Ë¶µ÷¼Á +12 »á˵»°µÄÖâ×Ó 2026-04-06 12/600 2026-04-07 17:23 by ¿É¿Ú¿ÉÀÖ²»¼Ó±ùØ
[¿¼ÑÐ] ²ÄÁϵ÷¼Á +15 Ò»ÑùYWY 2026-04-01 15/750 2026-04-07 15:54 by dxlg
[¿¼ÑÐ] 297·Ö083200ÇóÖú +9 aekx 2026-04-05 9/450 2026-04-06 20:57 by flysky1234
[¿¼ÑÐ] »úеר˶274Çóµ÷¼Á£¬²»ÌôרҵѧУ +6 ·º·º2333 2026-04-05 8/400 2026-04-06 18:06 by ·º·º2333
[¿¼ÑÐ] µÚÒ»Ö¾Ô¸¶«ÄÏ´óѧÎïÀí313£¬ÓпÆÑоºÈü»ñ½±¾­Àú£¬Ï£ÍûÎïÀí¸´ÊÔµ÷¼Á +3 ÂíÄÚ³È 2026-04-05 3/150 2026-04-06 10:32 by À¶ÔÆË¼Óê
[¿¼ÑÐ] 272·ÖÇóµ÷¼Á +4 wangyile2233 2026-04-02 4/200 2026-04-05 22:21 by 286640313
[¿¼ÑÐ] 277Çóµ÷¼Á +5 ¿¼Ñе÷¼Álxh 2026-04-05 5/250 2026-04-05 19:03 by chy09050039
[¿¼ÑÐ] 348Çóµ÷¼Á +6 wukira 2026-04-04 6/300 2026-04-05 18:11 by Öí»á·É
[¿¼ÑÐ] ¿¼ÑÐÉúÎïѧ¿¼AÇø211£¬³õÊÔ322£¬¿ÆÄ¿Éú»¯ºÍÉúÎï×ۺϣ¬Çóµ÷¼Á +6 ¡£¡£¡£54 2026-04-03 6/300 2026-04-05 14:54 by JOKER0401
[¿¼ÑÐ] ²ÄÁϵ÷¼Á +12 Ò»ÑùYWY 2026-04-04 12/600 2026-04-05 08:24 by 544594351
[¿¼ÑÐ] Ò»Ö¾Ô¸±±¾©»¯¹¤´óѧ£¬³õÊԳɼ¨350Çóµ÷¼Á +9 ÑØ°¶?±´¿Ç 2026-04-04 14/700 2026-04-05 01:09 by ÑØ°¶?±´¿Ç
[¿¼ÑÐ] ÔõôɾÌû×Ó°¡ +3 ·ìêØ1000 2026-04-04 3/150 2026-04-04 14:20 by ÍÁľ˶ʿÕÐÉú
[¿¼ÑÐ] Çóµ÷¼Á +4 ѹÁ¦??´ó 2026-04-03 4/200 2026-04-03 21:36 by à£à£à£0119
[¿¼ÑÐ] ¹¤¿Æ341·Öµ÷¼Á +3 Âå¶àÂÞ 2026-04-03 3/150 2026-04-03 14:20 by 1753564080
[¿¼ÑÐ] 08ÉúÎïÓëҽҩר˶³õÊÔ346ÕÒµ÷¼Á +6 dianeeee 2026-04-01 7/350 2026-04-02 08:23 by guoweigw
ÐÅÏ¢Ìáʾ
ÇëÌî´¦ÀíÒâ¼û