| ²é¿´: 439 | »Ø¸´: 0 | ||
ch2coohгæ (³õÈëÎÄ̳)
|
[ÇóÖú]
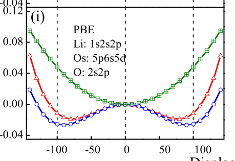
¿´Õâ¸öͼ£¬ºá×ø±êÊÇdisplacement×Ý×ø±êÊÇenergy¡£ÔõôµÃµ½µÄ ¡£Çó¸ßÊÖÖ¸µã
|
|
¿´×Ų»ÏñÊÇÄâºÏ³öÀ´µÄÇúÏß°É¡£¡£¡£ ÊÇÓÃmaterial studio£¨»òÕßvasp£© Ö±½Ó³öÀ´µÄÂ𣿠СµÜ£¬Ïë×ö³öÕâÑùµÄͼÀ´£¬ÇóÖ¸µ¼¡£ ![]() ![]() ![]() ²¶»ñ.PNG ²¶»ñ1.PNG |
» ²ÂÄãϲ»¶
µ÷¼Á
ÒѾÓÐ3È˻ظ´
08¹¤Ñ§µ÷¼Á
ÒѾÓÐ15È˻ظ´
ÕÐ08¿¼Êýѧ
ÒѾÓÐ16È˻ظ´
340Çóµ÷¼Á
ÒѾÓÐ3È˻ظ´
²ÄÁÏר˶ÕÒµ÷¼Á
ÒѾÓÐ4È˻ظ´
0854µç×ÓÐÅÏ¢Çóµ÷¼Á
ÒѾÓÐ6È˻ظ´
0805 316Çóµ÷¼Á
ÒѾÓÐ4È˻ظ´
0854 ¿¼Ñе÷¼Á ÕÐÉúÁË£¡AI ·½Ïò
ÒѾÓÐ17È˻ظ´
¡¾¿¼Ñе÷¼Á¡¿»¯Ñ§×¨Òµ 281·Ö£¬Ò»Ö¾Ô¸ËÄ´¨´óѧ£¬³ÏÐÄÇóµ÷¼Á
ÒѾÓÐ15È˻ظ´
×ÊÔ´Óë»·¾³ µ÷¼ÁÉêÇë(333·Ö)
ÒѾÓÐ7È˻ظ´














»Ø¸´´ËÂ¥