| 查看: 882 | 回复: 4 | |
chenjingxuan铜虫 (初入文坛)
|
[求助]
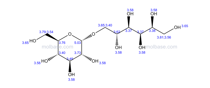
异麦芽糖醇 氢核磁分析 已有1人参与
|
|
|
|
hydros金虫 (著名写手)
|
|
|
2楼2015-12-10 10:13:49
|
|
chenjingxuan铜虫 (初入文坛)
|
|
|
3楼2015-12-10 13:10:40
|
|
hydros金虫 (著名写手)
|
|
|
4楼2015-12-10 13:17:53
|
|
chenjingxuan铜虫 (初入文坛)
|
|
|
5楼2015-12-10 17:23:51
|
|













回复此楼
chenjingxuan