| 查看: 589 | 回复: 10 | ||
| 当前只显示满足指定条件的回帖,点击这里查看本话题的所有回帖 | ||
chenpeng1991木虫 (正式写手)
小有名气
|
[求助]
求助几个无机小题 已有2人参与
|
|
|
大神帮忙看看。谢谢。 发自小木虫Android客户端 |
» 猜你喜欢
南方科技大学招收金属材料方向博士生
已经有23人回复
可降解聚酯材料在医疗器械中的应用趋势与创新方向
已经有0人回复
有机高分子材料论文润色/翻译怎么收费?
已经有94人回复
可降解微球如何提升药物精准治疗效果
已经有0人回复
静电纺丝膜分层问题
已经有0人回复
什么脱膜剂可以完全清洗干净啊?
已经有2人回复
暨南大学化学与材料学院赵宇亮院士正在招博士和博后,方向为生物材料和纳米医学
已经有1人回复
可生物降解聚酯正在重塑现代医疗器械
已经有0人回复
26届博士申请
已经有2人回复

赵晓兵
木虫 (小有名气)
- 应助: 8 (幼儿园)
- 金币: 2035.1
- 散金: 5
- 帖子: 262
- 在线: 163.7小时
- 虫号: 3941760
- 注册: 2015-06-26
- 性别: GG
- 专业: 电化学
11楼2015-12-09 12:00:51
Simonkingdom
金虫 (小有名气)
- 应助: 0 (幼儿园)
- 金币: 556.8
- 散金: 323
- 红花: 2
- 帖子: 177
- 在线: 69.2小时
- 虫号: 3539625
- 注册: 2014-11-16
- 性别: GG
- 专业: 金属材料表面科学与工程
★
冰点降温: 金币+1, 谢谢回帖交流,欢迎常来无机物化版块。 2015-12-09 10:27:27
冰点降温: 金币+1, 谢谢回帖交流,欢迎常来无机物化版块。 2015-12-09 10:27:27
|
第一个,先加氯离子,氯化银沉淀。再加过量氨水Hg(NH2)Cl沉淀 发自小木虫Android客户端 |
2楼2015-12-08 21:10:29
崇明先生
至尊木虫 (著名写手)
无机世界漫步者
- ICEPI: 8
- 应助: 501 (博士)
- 贵宾: 0.626
- 金币: 24950.7
- 散金: 238
- 红花: 103
- 沙发: 29
- 帖子: 2839
- 在线: 536小时
- 虫号: 3430055
- 注册: 2014-09-20
- 性别: GG
- 专业: 天然药物化学
【答案】应助回帖
★ ★ ★ ★ ★ ★
感谢参与,应助指数 +1
冰点降温: 金币+1, 谢谢回帖,辛苦啦! 2015-12-09 10:27:03
chenpeng1991: 金币+5, ★★★很有帮助, 谢谢。 2015-12-10 14:41:28
感谢参与,应助指数 +1
冰点降温: 金币+1, 谢谢回帖,辛苦啦! 2015-12-09 10:27:03
chenpeng1991: 金币+5, ★★★很有帮助, 谢谢。 2015-12-10 14:41:28
|
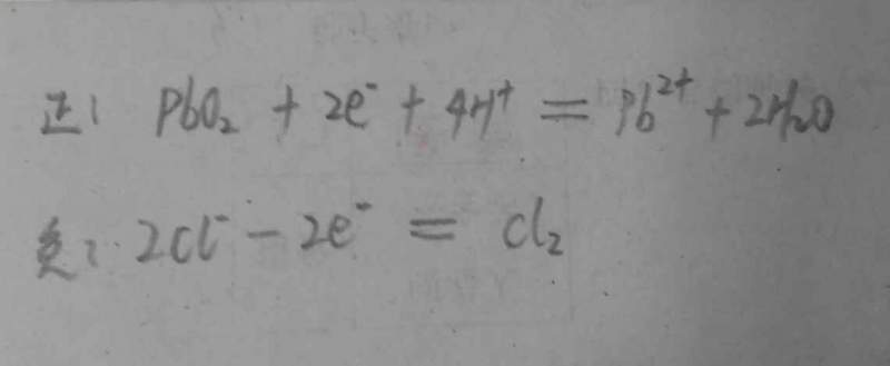
第二题从元素守恒和电荷守恒来看,没问题,只是电子转移情况没看出来具体是怎么回事。第三题见图 发自小木虫Android客户端 |

3楼2015-12-08 21:11:20
chenpeng1991
木虫 (正式写手)
小有名气
- 应助: 4 (幼儿园)
- 金币: 5593.4
- 散金: 70
- 红花: 2
- 帖子: 629
- 在线: 103.8小时
- 虫号: 2492038
- 注册: 2013-06-01
- 专业: 人工晶体

4楼2015-12-08 22:08:54













回复此楼