| 查看: 2264 | 回复: 2 | |||
[交流]
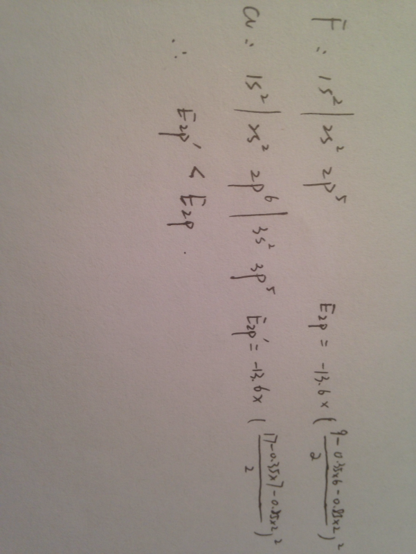
氟原子的2p轨道和氯原子的2p轨道能量比较
|
|
如题,怎么比较?请教大神们 发自小木虫Android客户端 |
» 本帖已获得的红花(最新10朵)
» 猜你喜欢
2026年武汉纺织大学国家杰青课题组招收调剂化学 生物 医学 食品 环境研究生
已经有16人回复
武汉纺织大学-材料科学与工程学院-姜伟杰青团队-招生物方向调剂
已经有0人回复
有机高分子材料论文润色/翻译怎么收费?
已经有148人回复
武汉纺织大学-材料科学与工程学院-招 生物方向 硕士!
已经有0人回复
武汉纺织大学-材料科学与工程学院-姜伟杰青团队-招生物方向调剂
已经有0人回复
[武汉纺织大学]材料学院[姜伟团队名称]课题组-2026年硕士研究生调剂信息
已经有0人回复
武汉纺织大学-材料科学与工程学院-姜伟杰青团队-招调剂
已经有0人回复
生物医学材料前沿科普:低密度、高孔隙率的“多孔微球”核心技术与应用全景
已经有1人回复
湖南工业大学周贵寅课题组招生物医学工程(07、08都行)和生物与医药(0860)硕士生
已经有0人回复
湖南工业大学周贵寅课题组招生物医学工程(07、08都行)和生物与医药(0860)硕士生
已经有0人回复
考研求调剂
已经有0人回复
vipgoobye
木虫 (小有名气)
- 应助: 20 (小学生)
- 金币: 1535.2
- 红花: 4
- 帖子: 160
- 在线: 97.7小时
- 虫号: 3801705
- 注册: 2015-04-10
- 专业: 有机分子功能材料化学
★ ★
小木虫: 金币+0.5, 给个红包,谢谢回帖
冰点降温: 金币+1, 谢谢回帖交流,欢迎常来无机物化版块。 2015-12-08 15:14:37
小木虫: 金币+0.5, 给个红包,谢谢回帖
冰点降温: 金币+1, 谢谢回帖交流,欢迎常来无机物化版块。 2015-12-08 15:14:37
|
居然不能应助…用slater屏蔽模型近似处理 发自小木虫IOS客户端 |
2楼2015-12-08 13:29:00
3楼2015-12-08 18:20:21














回复此楼
李李李李123