| 查看: 1041 | 回复: 5 | |||
[求助]
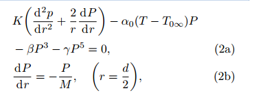
本人有一方程式,不知如何解,希望大神们可以给点意见,帮忙解决一下! 已有4人参与
|
|||
|
|
|||
wurongjun专家顾问 (职业作家)
|
|||
![]() |
|||
|
2楼2015-12-08 11:18:55
|
|
||
peterflyer
|
|||
|
3楼2015-12-08 12:50:01
|
|
||
|
★
感谢参与,应助指数 +1 li加油(Edstrayer代发): 金币+1 2015-12-31 04:39:51
|
|||
|
4楼2015-12-08 13:57:13
|
|
||
yancj2004新虫 (小有名气)
|
|||
|
5楼2015-12-08 15:17:03
|
|
||
yancj2004新虫 (小有名气)
|
|||
|
6楼2015-12-08 15:20:14
|
|













回复此楼


20