| 查看: 448 | 回复: 1 | ||
[交流]
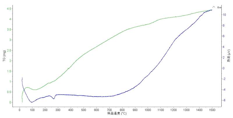
DSC数据800度以上往上跑 已有1人参与
|
2楼2015-12-28 16:57:13












回复此楼