| 查看: 2051 | 回复: 9 | |||
[交流]
史上最复杂的多元微分方程组的差分求解
|
|||
|
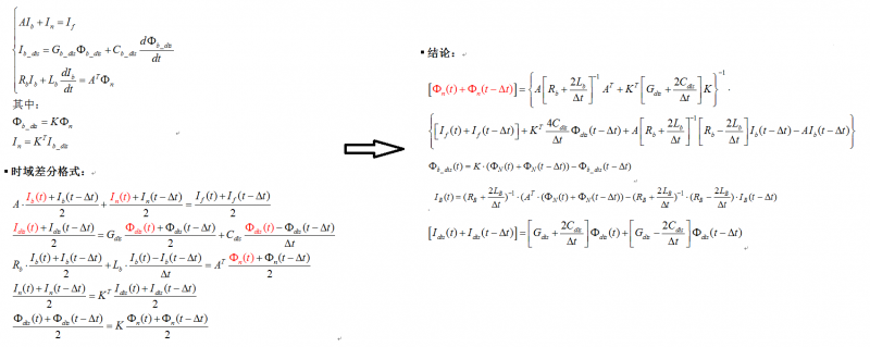
其实问题挺简单,只是个数可以任意多。 需要大神指点这种算法的 理论基础,拜谢各位大神,不是我抠啊,我没得金币了。 下面的方程组由5组基本的方程组构成,每个方程组由n个微分方程构成。 2个对时间t的一阶微分变量,3个关于时间t的变量。 初值If = abc, 求解2个微分变量,3个时间变量。 无标题1.png |
» 猜你喜欢
垃圾破二本职称评审标准
已经有19人回复
职称评审没过,求安慰
已经有53人回复
毕业后当辅导员了,天天各种学生超烦
已经有5人回复
26申博自荐
已经有3人回复
A期刊撤稿
已经有4人回复
» 本主题相关价值贴推荐,对您同样有帮助:
2010年度“江苏省博士后科研资助计划”
已经有8人回复
» 抢金币啦!回帖就可以得到:
深圳市人民医院活性天然产物研究方向诚招联合培养硕士生2-3
+1/281
双一流南京医科大学招计算机、AI、统计、生物信息等方向26年9月入学博士
+1/183
山东大学宋维业老师课题组招收光学、自动化控制、深度学习方向博士生
+1/176
好用的黑科技重组蛋白和生长因子
+1/98
Analytical Science Advances(Wiley出版社)长期征稿中...
+1/87
澳門大學 土木工程碩士和建造项目管理碩士招聘
+1/80
天津大学化学系吴立朋课题组申请考核制博士招生/博后招聘
+1/80
天津大学化学系吴立朋课题组申请考核制博士招生/博后招聘
+1/80
中国科学院山西煤炭化学研究所水污染防治与资源化利用方向招本科/硕士线上实习生
+1/78
限广州,征女友
+2/34
有没有在ITO或者FTO玻璃上做好的CdS薄膜购买?
+1/32
湖南师范大学杨亚辉/江浩团队招收电催化方向2026年博士生1名
+1/27
上海大学昝鹏教授、军事医学研究院伯晓晨研究员/倪铭副研究员 课题组招聘博士生
+2/16
天津大学化学系吴立朋课题组申请考核制博士招生/博后招聘
+1/14
山东大学集成电路学院招收2026年9月入学的博士研究生
+1/13
杭州师范大学心理系赛李阳课题组招收2026年学术学位博士研究生
+1/9
中科院精密测量院(原武汉物数所)诚招磁共振成像方向申请考核制博士(2026.1.9截止)
+1/6
中国地质大学(武汉)戴志高课题组诚招2026级硕博研究生
+1/5
实验室研究员
+1/4
长春工业大学 机电工程学院 韩玲教授 招收审核制2026年秋季入学博士生
+1/1
5楼2015-12-04 15:42:09
9楼2015-12-04 16:02:14
简单回复
dmbb2楼
2015-12-04 15:29
回复
fresh_2005(金币+1): 谢谢参与
tzynew3楼
2015-12-04 15:29
回复
fresh_2005(金币+1): 谢谢参与
2015-12-04 15:34
回复
fresh_2005(金币+1): 谢谢参与
三水猫6楼
2015-12-04 15:42
回复
fresh_2005(金币+1): 谢谢参与
2015-12-04 15:48
回复
fresh_2005(金币+1): 谢谢参与


xhmaohan8楼
2015-12-04 15:55
回复
fresh_2005(金币+1): 谢谢参与
zhuguiqiu10楼
2015-12-04 16:07
回复
哦 !













回复此楼