| 查看: 288 | 回复: 0 | ||
[求助]
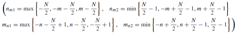
请帮忙看看下面这个函数该怎么用matlab编写出来???
|
|
已知离散信号: 对x构建一个新函数y为: |
» 猜你喜欢
22408 344分 求调剂 一志愿 华电计算机技术
已经有4人回复
材料专硕英一数二306
已经有7人回复
南京大学化学376求调剂
已经有6人回复
南昌大学材料专硕311分求调剂
已经有5人回复
295求调剂
已经有6人回复
一志愿南昌大学,327分,材料与化工085600
已经有9人回复
294求调剂材料与化工专硕
已经有15人回复
308求调剂
已经有3人回复
321求调剂
已经有11人回复
一志愿中海洋材料工程专硕330分求调剂
已经有8人回复













回复此楼