| 查看: 1603 | 回复: 0 | ||
w953274141铜虫 (正式写手)
|
[求助]
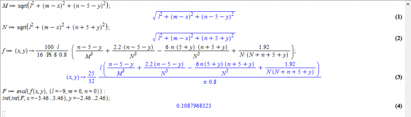
maple 中怎么运用高斯-勒让德五点积分公式求解啊 求大家帮帮我吧
|
|
如图那个计算式。。。我想得到的数值结果呈高斯曲线分布 现在这样积出来的结果不是我理想的 而且经常会计算出虚数 所以想换个方法计算 求大神帮帮我 可是我只有15金币。。。不要嫌弃少哦 真的很感谢~ tie .png |
» 猜你喜欢
🌟 比利时新鲁汶大学(UCLouvain)诚邀CSC博士加入Pascal Gehring教授团队
已经有0人回复
第一性原理计算方向2026级博士申请 PRB*1,四级484
已经有1人回复
物理学I论文润色/翻译怎么收费?
已经有245人回复
求助VISSIM破解版软件
已经有0人回复
求2026年在台湾举行的物理和材料领域国际学术会议信息
已经有0人回复
求国际会议网站
已经有1人回复
求取一些关于纳米材料和纳米技术相关的英文PPT。
已经有0人回复
【复旦大学】二维材料方向招收2026年博士研究生1名
已经有0人回复
北京纳米能源与系统研究所 王中林院士/曹南颖研究员课题组2026级硕/博/博后招生
已经有10人回复
荷兰Utrecht University超快太赫兹光谱王海教授课题招收2026 CSC博士生
已经有12人回复














回复此楼